A question about relativity of simultaneity

Click For Summary

Discussion Overview

The discussion revolves around the concept of the relativity of simultaneity as illustrated by Einstein's train thought experiment. Participants explore the implications of this concept, particularly regarding the timing of light signals from simultaneous events as perceived by observers in different reference frames. The conversation touches on theoretical understanding, the role of thought experiments, and the application of Lorentz transformations.

Discussion Character

  • Exploratory
  • Technical explanation
  • Conceptual clarification
  • Debate/contested
  • Mathematical reasoning

Main Points Raised

  • One participant expresses confusion about the thought experiment involving simultaneous lightning strikes and the resulting perception of light arrival times by an observer in a moving train.
  • Another participant clarifies that the lightning strikes are simultaneous in the embankment's rest frame but not in the train's rest frame.
  • There is a discussion about the concept of "closing speed" versus "relative speed," with some participants emphasizing that closing speed can exceed the speed of light without violating relativity principles.
  • Participants debate the application of the speed addition formula in the context of relativity, noting that it cannot be applied in the same way as in classical mechanics.
  • Concerns are raised about the discrepancies between the Lorentz transformation and the observed timing differences, with one participant questioning how these concepts can be reconciled.
  • Some participants argue that understanding the thought experiments is crucial for grasping the application of Lorentz transformations.

Areas of Agreement / Disagreement

Participants do not reach a consensus on the necessity and clarity of thought experiments in understanding relativity. There are multiple competing views regarding the interpretation of closing speed, relative speed, and their implications for the Lorentz transformation.

Contextual Notes

There are unresolved questions regarding the application of the speed addition formula and the relationship between closing speed and Lorentz transformation coefficients. Participants express uncertainty about how to integrate these concepts coherently.

  • #61
Sagittarius A-Star said:
Under these conditions, SR postulate 2 (invariance of the speed of light in vacuum) is not needed to derive the LT.

You can find such a derivation of the LT here
I think this is a bit misstated.

The units of the constant ##\alpha## in the derivation you refer to are inverse velocity squared. So assuming that ##\alpha > 0## is equivalent to assuming that there is a finite invariant speed. It is true that this, by itself, does not tell you that that finite invariant speed is the speed of light; but since there can be only one finite invariant speed, anything that has an invariant speed must have that invariant speed, including light. With that taken into account, assuming ##\alpha > 0## is really equivalent to assuming invariance of the speed of light.

The interesting part of the derivation is showing that assuming ##\alpha > 0## implies ##t' \neq t##. But you only know that by already having the transformation equations in terms of ##\alpha##. So I don't think this is quite the same as deriving the LT from relativity of simultaneity without using the invariance of the speed of light; that would imply that relativity of simultaneity by itself, without using the invariance of the speed of light, or something logically equivalent to it (like ##\alpha > 0##), could tell you the form of the transformation equations. But the derivation of the transformation equations in terms of ##\alpha## doesn't use relativity of simultaneity at all.
 
Physics news on Phys.org
  • #62
PeterDonis said:
So assuming that ##\alpha > 0## is equivalent to assuming that there is a finite invariant speed. It is true that this, by itself, does not tell you that that finite invariant speed is the speed of light
I don't assume that ##\alpha > 0##. This is the only remaining possibility after excluding the cases ##\alpha < 0## (from assumed invariance of causality, as I stated) and excluding ##\alpha = 0## (from experiment disproving absolute time, for example showing relativity of simultaneity = excluding Galileo transformation).

It is true, that this derivation does not also derive, that the invariant speed, called ##c##, is equal to the physical speed of light in vacuum. That would need an additional experiment.

PeterDonis said:
The interesting part of the derivation is showing that assuming ##\alpha > 0## implies ##t' \neq t##.
It is the opposite direction of reasoning, see above.

PeterDonis said:
But you only know that by already having the transformation equations in terms of ##\alpha##.
I get this transformation equations in terms of ##\alpha## from assuming that the velocity composition law is commutative, as stated. This follows from transformation group laws, as stated in the paper "Nothing but Relativity", which I linked at the top of the derivation.
 
  • #63
Sagittarius A-Star said:
I don't assume that ##\alpha > 0##.
"Assume" is just a form of words. You can say "exclude all of the other possibilities" if you like that better.

Sagittarius A-Star said:
This is the only remaining possibility after excluding the cases ##\alpha < 0## (from assumed invariance of causality, as I stated) and excluding ##\alpha = 0## (from experiment disproving absolute time, for example showing relativity of simultaneity = excluding Galileo transformation).
You exclude ##\alpha = 0## to exclude the Galilean case, but the only reason you can equate that with excluding "absolute time" (which you actually can't really--see below) is by looking at the specific form of the transformation equation for ##t'##. However, you can equate ##\alpha > 0## with a finite invariant speed just by looking at the units required for ##\alpha##, without making use of any specific form of the transformation equations.

Also, you can't exclude absolute time, or more precisely absolute simultaneity, by experiments, because simultaneity is a convention. You can, however, establish that there is a finite invariant speed by experiments, if you can find a physical phenomenon that moves at that speed, such as light.

Sagittarius A-Star said:
It is the opposite direction of reasoning
I disagree. You first derive the transformation equations in terms of a parameter ##\alpha##. Then you observe from the transformation equation for ##t'## that ##\alpha > 0## implies ##t' = t##. There is no reasoning that let's you go in reverse, because just assuming ##t' = t## doesn't tell you what the form of the transformation equations is in terms of ##\alpha##. In fact, even if you take the transformation equations as given, by itself ##t' = t## doesn't require ##\alpha > 0##, it just requires ##\alpha \neq 0##. Nor did you have to assume ##t' = t## in order to introduce ##\alpha## as a parameter in the equations or derive their form.
 
  • #64
DmitryS said:
Thank you very much for bringing this up! it's exactly what's worrying me.
It seems that even as we stage the thought experiments, we already know that the relative simultaneity is there. The setup of the experiment already has it.
So, this is either the circular argument, or all those thought experiments are just illustrations and not thought experiments. This brings us back to the question I asked at the beginning: Why do we need them at all?
And, rewording your statement... The light of the two lightnings reaches the observer on the embankment at the same time. This means that this point of simultaneity exists even inside the traincar. It's not the center, but it is there. So, there is at least one observer who belongs to the traincar frame and who thinks that the lightnings are simultaneous. Granting that the clocks of the traincar frame are all synchronous for that frame, we have the time when the lightnings are simultaneous in the traincar frame?
What is unclear with my calculation in #42? You have to use the Lorentz transformation to get the record straight, because it follows from the usual Einsteinian synchronization convention in an inertial frame of reference.

What's missing is, when the light signals reach the observer at the platform. It's easy to calculate that the light signal sent from A reach the observer at ##M## at the time ##t_{MA}'=(1+\beta) \gamma L/c## and the signal from ##B## at ##t_{MB}'=(1-\beta) \gamma L/(2c)##.
 
  • #65
PeterDonis said:
(1) He assumes we have two inertial coordinate systems, with one (the "moving" system) moving in the positive ##x## direction with speed ##v## with respect to the other (the "stationary" system).

(2) He assumes that the transformation equations between the two systems must be linear.

(3) He assumes a light ray that goes from the spatial origin of the moving system out to some positive ##x'##, is reflected there, and returns to the spatial origin of the moving system.

(4) He analyzes the motion of this light ray and uses the fact that the speed of the light ray must be the same in both frames to derive the transformation equations.
I don't agree that he assumes what you say, or rather, that he only assumes what you say, but let that be for a moment.
Basically, as I was saying, the starting point of his derivation is the same setup as that of the simultaneity test. I already posted the screenshot. And that setup leads to some transforms, which are not LT:
1664965889726.png

https://www.fourmilab.ch/etexts/einstein/specrel/specrel.pdf

These are very much not the LT. I would be glad if you can explain to me how you can get from those to the LT. I tried, and I failed.
That's, as I am saying, the result of using the simultaneity test as the starting point of derivation. That's why I think the simultaneity test contradicts the LT.
 
  • Skeptical
Likes   Reactions: weirdoguy and PeroK
  • #66
DmitryS said:
That's, as I am saying, the result of using the simultaneity test as the starting point of derivation. That's why I think the simultaneity test contradicts the LT.
Those are intermediate variables. He ends up with the LT further on in the paper.

Are you trying to learn SR or trying to prove its's wrong, if you don't mind me asking?
 
  • Like
Likes   Reactions: martinbn
  • #67
DmitryS said:
These are very much not the LT. I would be glad if you can explain to me how you can get from those to the LT. I tried, and I failed.
They're just intercept calculations between the light ray and a mirror, aren't they?
 
  • #68
PeroK said:
Those are intermediate variables. He ends up with the LT further on in the paper.

Are you trying to learn SR or trying to prove its's wrong, if you don't mind me asking?
I don't mind you asking anything as long as we remain within the protocol of mutual respect.
I think I made my point abundantly clear from the start. I find the Lorentz mathematics very much consistent, but I don't like the idea of the physical evidence of relative simultaneity. It seems to me a flop. If I remember correctly, you agreed with me about this point.
Now, to give it a rigorous proof, I refer to Einstein's 1905 paper. Mind that I'm only voicing an opinion without claiming it right. If you think it is wrong, feel free to prove it.
I will put down my points and supporting references in order, so you could tell me where I am wrong.
1) The experiment with the ray going from 0 to x' and its accompanying mathematics is simply an extension of simultaneity test.
2) With that mathematics, Einstein ends up with the transforms
1664987136431.png


which are not LT. They are pretty much the logical finale of Einstein's setup.
3) You say: "Those are intermediate variables. He ends up with the LT further on in the paper". That's exactly the point that in my opinion needs a proof on your part. What I see from the text - and I provided the link to the online PDF - is that Einstein simply writes down the LT after these transforms. I won't make a snapshot, you can easily find it yourself, here's the link:
https://www.fourmilab.ch/etexts/einstein/specrel/specrel.pdf
To me, that looks like he assumed the LT to be true, whatever his own reasoning might have led to. If you can derive the LT from the relations above, show me how - and I will confess I was wrong.
 
  • #69
DmitryS said:
I find the Lorentz mathematics very much consistent, but I don't like the idea of the physical evidence of relative simultaneity. It seems to me a flop. If I remember correctly, you agreed with me about this point.
Not at all. I just don't like the Einstein simultaneous lightning strikes thought experiment. It's over-complicated and potentially misleading.

I gave a much cleaner example of the incompatibility of universal simultaneity with the invariance of the speed of light in a previous post.
DmitryS said:
Now, to give it a rigorous proof, I refer to Einstein's 1905 paper. Mind that I'm only voicing an opinion without claiming it right. If you think it is wrong, feel free to prove it.
I will put down my points and supporting references in order, so you could tell me where I am wrong.
1) The experiment with the ray going from 0 to x' and its accompanying mathematics is simply an extension of simultaneity test.
2) With that mathematics, Einstein ends up with the transforms
View attachment 315069

which are not LT. They are pretty much the logical finale of Einstein's setup.
3) You say: "Those are intermediate variables. He ends up with the LT further on in the paper". That's exactly the point that in my opinion needs a proof on your part.
I'm not sure what's to prove.
DmitryS said:
What I see from the text - and I provided the link to the online PDF - is that Einstein simply writes down the LT after these transforms. I won't make a snapshot, you can easily find it yourself, here's the link:
https://www.fourmilab.ch/etexts/einstein/specrel/specrel.pdf
To me, that looks like he assumed the LT to be true, whatever his own reasoning might have led to. If you can derive the LT from the relations above, show me how - and I will confess I was wrong.
There's a derivation of the LT here:

http://www2.physics.umd.edu/~yakovenk/teaching/Lorentz.pdf

There is an issue if you take Einstein's 1905 paper as some sort of Gospel. It was the first paper on SR, but the theory has been developed and refined for over 100 years since then. I love the 1905 paper, but it's not an ideal source from which to learn SR as a student. Your confusions bear this out to some extent.

I don't want to get into a game of having to justify everything Einstein wrote in 1905. We all see flaws in that paper, when it comes to it.

But, an incompatibility between the LT and RoS? That's just nonsensical. The LT encapsulates the RoS along with time dilation and length contraction. That I can prove, but not by dissecting the 1905 paper.

PS both @vanhees and I have proved the compatibility of the LT and RoS in various posts in this thread.
 
  • Like
Likes   Reactions: martinbn and Ibix
  • #70
PeterDonis said:
Also, you can't exclude absolute time, or more precisely absolute simultaneity, by experiments, because simultaneity is a convention. You can, however, establish that there is a finite invariant speed by experiments, if you can find a physical phenomenon that moves at that speed, such as light.
You are right, I made an error in posting #59. This thought experiment works under the assumption, that the LT is correct. Instead, for example, a twin paradox experiment with muons in a particle storage ring could disprove GT / Newtonian physics.

PeterDonis said:
You first derive the transformation equations in terms of a parameter ##\alpha##. Then you observe from the transformation equation for ##t'## that ##\alpha > 0## implies ##t' = t##.

No, I wrote the opposite:
Sagittarius A-Star said:
  1. ##\alpha < 0##
  2. ##\alpha = 0##
  3. ##\alpha > 0##
...
Case 2, the GT, can be excluded when assuming ##t' \neq t##, which is the opposite of Newton's assumption of an "absolute time" (see equation 9).
 
  • #71
PeroK said:
I'm not sure what's to prove.
To prove your own words, "Those are intermediate variables. He ends up with the LT further on in the paper". To prove that Einstein's model of 1905 leads to LT, and that there's an actual derivation of the LT in 1905.

Instead, you provide a link to another source with the LT derivation - I can derive the LT myself on different grounds. That's not the point I'm making.

There is an issue if you take Einstein's 1905 paper as some sort of Gospel. It was the first paper on SR, but the theory has been developed and refined for over 100 years since then. I love the 1905 paper, but it's not an ideal source from which to learn SR as a student. Your confusions bear this out to some extent.

I just said that in this paper there is no derivation of LT. You said I was wrong. Now you say I was right? I take it for a scientific paper, not for a Gospel.

I don't want to get into a game of having to justify everything Einstein wrote in 1905. We all see flaws in that paper, when it comes to it.

Good.

But, an incompatibility between the LT and RoS? That's just nonsensical.
PS both @vanhees and I have proved the compatibility of the LT and RoS in various posts in this thread.


You're missing my point again. I never said LT and RoS are incompatible. What's more, it's easy to see how RoS works through the LT. I only said that the kind of model of RoS presentedd through the light rays experiments brings us only to the kind of transforms obtained by Einstein in his 1905 paper. And those are incompatible with the LT.

Once again. I take no issue with LT, RoS, or their incompatibility. I take issue with the way RoS is introduced through those experiments.

Are we going to go through all this again? I might retort: "You aren't trolling me, if you don't mind me asking?" But I won't. I will just tell you that it seems to me that instead of the discussion of the relevant points I'm making I sometimes have to struggle with the paternal attitude as if to a would-be renegade.

Maybe points I'm making are not relevant. If so, you can demonstrate that, I hope? So far, I haven't seen in this thread a proof of the light-ray experiments leading to LT which did not contain the assumption of LT in the first place. Einstein so far was the only one who tried to do it - and seems to have failed.
 
  • Sad
Likes   Reactions: PeroK
  • #72
DmitryS said:
Maybe points I'm making are not relevant. If so, you can demonstrate that, I hope? So far, I haven't seen in this thread a proof of the light-ray experiments leading to LT which did not contain the assumption of LT in the first place. Einstein so far was the only one who tried to do it - and seems to have failed.
I have to say, in all honesty, I doubt I am able to help you understand SR.
 
  • Like
Likes   Reactions: vanhees71
  • #73
PeroK said:
I have to say, in all honesty, I doubt I am able to help you understand SR.
But I do understand it! I'm not after that!
 
  • Sad
Likes   Reactions: weirdoguy
  • #74
DmitryS said:
But I do understand it! I'm not after that!
Anyone who posts something like this:

DmitryS said:
So far, I haven't seen in this thread a proof of the light-ray experiments leading to LT which did not contain the assumption of LT in the first place. Einstein so far was the only one who tried to do it - and seems to have failed.
Is just wasting everyone's time. Every competent student of SR in the last 100 years has derived the LT themselves from only the invariance of the speed of light.
 
  • Like
Likes   Reactions: vanhees71 and Vanadium 50
  • #75
DmitryS said:
To me, that looks like he assumed the LT to be true, whatever his own reasoning might have led to. If you can derive the LT from the relations above, show me how - and I will confess I was wrong.

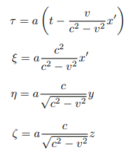
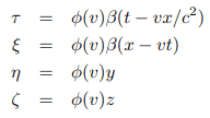
You appear to be asking how Einstein gets from these equations:
1664996888591.png


to these equations:

1664996932123.png


Take, for example, the equation for ##\xi##. Recall that Einstein uses the symbol ##x'## to denote ##x-vt##. (See near the top of page 6 in your link.) Thus,

$$\xi = a \frac{c^2}{c^2-v^2}x' = a \frac{c^2}{c^2-v^2}\left( x-ct \right) = \frac{a}{1-v^2/c^2}\left( x-ct \right) = \frac{a}{\sqrt{1-v^2/c^2}}\frac{1}{\sqrt{1-v^2/c^2}}\left( x-vt \right)$$

The symbol ##a## represents a yet-to-be-determined function of ##v##. Einstein originally used the notation ##\phi(v)## to denote this unknown function. (See near the bottom of page 6 in your link.) However, later when Einstein writes his results at the bottom of page 7, he redefines the notation ##\phi(v)## to denote ##\frac{a}{\sqrt{1-v^2/c^2}}##. This is certainly OK, but it could be a bit confusing. ##\phi(v)## is still a yet-to-be-determined function of ##v##.

Einstein uses ##\beta## to denote ##\frac{1}{\sqrt{1-v^2/c^2}}##. So, using these definitions of ##\phi(v)## and ##\beta##, we arrive at Einstein's result $$\xi = \phi(v) \beta \left( x-ct \right).$$The results for ##\tau, \eta##, and ##\zeta## can be obtained in a similar manner.

Einstein later argues that the unknown function ##\phi(v)## is actually independent of ##v## and equals 1. At this point, he has finally finished his derivation of the LT equations given at the bottom of page 9.
 
  • Like
Likes   Reactions: vanhees71, PeroK and Ibix
  • #76
DmitryS said:
That's exactly the point that in my opinion needs a proof on your part. What I see from the text - and I provided the link to the online PDF - is that Einstein simply writes down the LT after these transforms.
It's just algebra to derive the Lorentz transforms from the setup Einstein gives (as @TSny has just laid out). I find Einstein's derivation a bit messy because he has these intermediate values with Greek letters, but it's easy enough to do something cleaner.

Assert that everything happens in the ##z=0## plane. Consider two light pulses from the origin, one parallel to ##x## and one parallel to ##y##, let them reflect off two mirrors equidistant from the origin and return simultaneously to the origin. Write down the coordinates, ##(x,y,t)## and ##(x',y',t')##, of the two reflection events and the return event in two frames, one where the experimental gear is stationary and one where it is moving in the ##+x## direction at constant speed. Equate the primed coordinates of each event to the unprimed coordinates after applying the general linear transform. The general linear transform (a 3##\times##3 matrix) has nine parameters and you have nine constraints. Solve for the parameters. You then have a bit more work to do because you can't assume that the distances to the mirrors in the primed frame are the same as they are in the unprimed one (and, indeed, one turns out not to be the same), but noting that if the forward transform is ##\Lambda(v)## the inverse transform must be ##\Lambda(-v)## and hence ##\Lambda(v)\Lambda(-v)=\mathbf{I}## gets you out of that. Finally you observe from rotational symmetry that the ##z## transform must be the same as the ##y## transform.

It's worth grinding through it once.
 
  • Like
Likes   Reactions: vanhees71 and DmitryS
  • #77
TSny said:
You appear to be asking how Einstein gets from these equations:
View attachment 315075

to these equations:

View attachment 315076

Take, for example, the equation for ##\xi##. Recall that Einstein uses the symbol ##x'## to denote ##x-vt##. (See near the top of page 6 in your link.) Thus,

$$\xi = a \frac{c^2}{c^2-v^2}x' = a \frac{c^2}{c^2-v^2}\left( x-ct \right) = \frac{a}{1-v^2/c^2}\left( x-ct \right) = \frac{a}{\sqrt{1-v^2/c^2}}\frac{1}{\sqrt{1-v^2/c^2}}\left( x-vt \right)$$

The symbol ##a## represents a yet-to-be-determined function of ##v##. Einstein originally used the notation ##\phi(v)## to denote this unknown function. (See near the bottom of page 6 in your link.) However, later when Einstein writes his results at the bottom of page 7, he redefines the notation ##\phi(v)## to denote ##\frac{a}{\sqrt{1-v^2/c^2}}##. This is certainly OK, but it could be a bit confusing. ##\phi(v)## is still a yet-to-be-determined function of ##v##.

Einstein uses ##\beta## to denote ##\frac{1}{\sqrt{1-v^2/c^2}}##. So, using these definitions of ##\phi(v)## and ##\beta##, we arrive at Einstein's result $$\xi = \phi(v) \beta \left( x-ct \right).$$The results for ##\tau, \eta##, and ##\zeta## can be obtained in a similar manner.

Einstein later argues that the unknown function ##\phi(v)## is actually independent of ##v## and equals 1. At this point, he has finally finished his derivation of the LT equations given at the bottom of page 9.
Thank you very much for talking to the point, but there's a problem.
I cannot see where ##\phi(v)## denotes ##\frac{a}{\sqrt{1-v^2/c^2}}## Maybe you refer to a different edition, or a later issue of the article? As far as I can see, in the article at my link it is universally ##\phi(v) = a##
Certainly, ##\phi(v)=\frac{a}{\sqrt{1-v^2/c^2}}## would solve the problem. But how would one justify such definition of ##\phi(v)##? I don't see it can be substantiated - maybe you can help me here.
 
  • #78
Ibix said:
It's just algebra to derive the Lorentz transforms from the setup Einstein gives (as @TSny has just laid out). I find Einstein's derivation a bit messy because he has these intermediate values with Greek letters, but it's easy enough to do something cleaner.

Assert that everything happens in the ##z=0## plane. Consider two light pulses from the origin, one parallel to ##x## and one parallel to ##y##, let them reflect off two mirrors equidistant from the origin and return simultaneously to the origin. Write down the coordinates, ##(x,y,t)## and ##(x',y',t')##, of the two reflection events and the return event in two frames, one where the experimental gear is stationary and one where it is moving in the ##+x## direction at constant speed. Equate the primed coordinates of each event to the unprimed coordinates after applying the general linear transform. The general linear transform (a 3##\times##3 matrix) has nine parameters and you have nine constraints. Solve for the parameters. You then have a bit more work to do because you can't assume that the distances to the mirrors in the primed frame are the same as they are in the unprimed one (and, indeed, one turns out not to be the same), but noting that if the forward transform is ##\Lambda(v)## the inverse transform must be ##\Lambda(-v)## and hence ##\Lambda(v)\Lambda(-v)=\mathbf{I}## gets you out of that. Finally you observe from rotational symmetry that the ##z## transform must be the same as the ##y## transform.

It's worth grinding through it once.
That's something, thanks.
 
  • #79
PeroK said:
Anyone who posts something like this:Is just wasting everyone's time. Every competent student of SR in the last 100 years has derived the LT themselves from only the invariance of the speed of light.
You really don't see the difference between "deriving the LT from the invariance of the speed of light" and "deriving the LT from Einstein's setup"?

And please, don't bring up that wasting somebody's time thing again. I hope participation in this forum is not mandatory. I wouldn't take offence at all if nobody wrote a reply to my post. That's life. I feel grateful to you for all your effort and to anyone else who participated. Sometimes it seemed to me that you either ignored my questions or took them for something which they weren't - well, maybe it was partly my fault. Maybe I needed to word them in a different way. That's life again. Thank you for your time and effort.
 
  • #80
Ibix said:
It's worth grinding through it once.
I never thought of that algebra from this perspective, that you could actually set it as an experiment with light.
 
  • #81
DmitryS said:
I never thought of that algebra from this perspective, that you could actually set it as an experiment with light.
That's why he says "[f]rom the origin of system k let a ray be emitted at the time ##\tau_0## along the
X-axis".
 
Last edited:
  • #82
DmitryS said:
Thank you very much for talking to the point, but there's a problem.
I cannot see where ##\phi(v)## denotes ##\frac{a}{\sqrt{1-v^2/c^2}}## Maybe you refer to a different edition, or a later issue of the article? As far as I can see, in the article at my link it is universally ##\phi(v) = a##
Certainly, ##\phi(v)=\frac{a}{\sqrt{1-v^2/c^2}}## would solve the problem. But how would one justify such definition of ##\phi(v)##? I don't see it can be substantiated - maybe you can help me here.
As commented in post #75, ##a## is initially described as "##\text{a function }\phi(v)##", but he later redefines ##\phi## implicitly by the four equations for ##\tau##, ##\xi##, ##\eta## and ##\zeta## near the bottom of page 7 which you must compare with the previous equations for those four quantities. E.g. compare $$\zeta=a \frac{c}{\sqrt{c^2-v^2}}z$$ with $$\zeta=\phi(v)z.$$It would have been better if he'd used two different symbols instead of using ##\phi## with two different meanings without explicitly saying so.
 
  • Like
Likes   Reactions: vanhees71 and Ibix
  • #83
DmitryS said:
I cannot see where ##\phi(v)## denotes ##\frac{a}{\sqrt{1-v^2/c^2}}## Maybe you refer to a different edition, or a later issue of the article? As far as I can see, in the article at my link it is universally ##\phi(v) = a##

There exists a German site about the Einstein 1905 paper with comments and explanations. If you are using Chrome and right-click on one of the text parts with comments and explanations, then you can get it translated to English.

Wikibooks said:
2. Einstein introduces a new function that is not identical to the function ##\varphi( v ) = a## mentioned on page 899 . Rather is:

$$ \varphi (v)=\frac {a}{\sqrt {1-(\frac {v}{V})^{2}}}$$
Source:
https://de.wikibooks.org/wiki/A._Ei...namik_bewegter_Körper:_Kinematischer_Teil:_§3
 
  • Like
Likes   Reactions: vanhees71 and PeroK
  • #84
DmitryS said:
I cannot see where ##\phi(v)## denotes ##\frac{a}{\sqrt{1-v^2/c^2}}## Maybe you refer to a different edition, or a later issue of the article? As far as I can see, in the article at my link it is universally ##\phi(v) = a##
Certainly, ##\phi(v)=\frac{a}{\sqrt{1-v^2/c^2}}## would solve the problem. But how would one justify such definition of ##\phi(v)##? I don't see it can be substantiated - maybe you can help me here.
There's nothing much going on here. Suppose Einstein had used the notation ##\bar{\phi}(v)## instead of ##\phi(v)## at the bottom of page 6. That is, suppose he had written:

1665005399324.png


Then, we are at liberty to define a new function of ##v ## which we may denote ##\phi(v)## as follows:

##\large \phi(v) = \frac{a}{\sqrt{1-v^2/c^2}} = \frac{\bar{\phi}(v)}{\sqrt{1-v^2/c^2}}##.

This is the ##\phi(v)## that Einstein uses at the bottom of page 7. Since ##\bar{\phi}(v)## denoted "a function at present unknown", ##\phi(v)## can also be taken to be "a function at present unknown". Einstein proceeds to show that ##\phi(v) = 1##. That means that ##a## as a function of ##v## turns out to be

## a = \bar{\phi}(v) = \sqrt{1-v^2/c^2}##.
 
  • Like
Likes   Reactions: vanhees71
  • #85
Sagittarius A-Star said:
I wrote the opposite
I know what you wrote; I am just saying that I think what you wrote misdescribes the correct reasoning. But this is really tangential to the main topic of the thread.
 
  • #86
DmitryS said:
I don't agree that he assumes what you say, or rather, that he only assumes what you say, but let that be for a moment.
No, let's not let that be. If you disagree, then what do you think Einstein's assumptions are? If we can't agree on that initial point, how can you expect to have a useful discussion of the rest of the paper?

DmitryS said:
as I was saying, the starting point of his derivation is the same setup as that of the simultaneity test
Sort of. But even if it is, that doesn't mean Einstein is assuming anything about simultaneity in order to derive the LT. He just happens to be using a similar scenario.

DmitryS said:
that setup leads to some transforms, which are not LT
I realize you've been exchanging posts with others who have tried to correct you here, but just to add my input to that discussion, at the end of Section 3, he obtains final transformation equations which most certainly are the LT. I did not spell out every single step of his reasoning because (a) you were asking mainly about his assumptions, and (b) I assumed you would be able to apply your intelligence to see the rest without my having to walk you through every step.
DmitryS said:
I just said that in this paper there is no derivation of LT. You said I was wrong. Now you say I was right?
No. He is just saying that the derivation of the LT in Einstein's 1905 paper is not the most efficient derivation that we now know of, after more than a century of having other people look at the issue and come up with more efficient derivations. But that in no way means that Einstein's derivation is wrong. It's not.
 
  • #87
DmitryS said:
I think I made my point abundantly clear from the start.
I don't. This thread started out with you asking about a common scenario that is used to illustrate relativity of simultaneity; then it morphed into you claiming that Einstein's 1905 paper somehow does not derive the Lorentz transformations. So I think you are mistaken if you believe your point is clear to others who are in this discussion. I think you need to clarify what, exactly, you want to discuss.
 
  • Like
Likes   Reactions: Vanadium 50, PeroK, weirdoguy and 1 other person
  • #88
PeroK said:
There is an issue if you take Einstein's 1905 paper as some sort of Gospel. It was the first paper on SR, but the theory has been developed and refined for over 100 years since then. I love the 1905 paper, but it's not an ideal source from which to learn SR as a student. Your confusions bear this out to some extent.
I'd say, the kinematic part is a masterpiece. It derives the Lorentz transformation by very plausible physical arguments from the two empirical foundations of RT, i.e., the special principle of relativity and the independence of the phase velocity of em. waves of the motion of their source. Also the electromagnetical part (LT of fields, Maxwell's equations, aberration and Doppler shift for em. waves in vacuo) are ok but hard to read since we are used to the vector notation rather than writing out all equations for components. The only thing I'd say hasn't been fully understood in this paper is point-particle mechanics, which was correctly formulated for the first time (afaik) by Planck in 1906. The unfortunate result is that the idea of "relativistic mass" has been established in the 1905 paper and is still not eliminated from the textbook literature (particularly in high-school textbooks).
PeroK said:
I don't want to get into a game of having to justify everything Einstein wrote in 1905. We all see flaws in that paper, when it comes to it.

But, an incompatibility between the LT and RoS? That's just nonsensical. The LT encapsulates the RoS along with time dilation and length contraction. That I can prove, but not by dissecting the 1905 paper.

PS both @vanhees and I have proved the compatibility of the LT and RoS in various posts in this thread.
I think, now we have all three types of train gedanken experiments in this thread:

(a) Signals sent from both ends of the train simultaneously wrt. the embankment rest frame (Einstein's original one in "The meaning of relativity").
(b) Signals sent from both ends of the train simultaneously wrt. the train rest frame.
(c) One signal sent from the center of the train.

I think that (c) is the best one. The most straight-forward way to analyze either of them is the use of the LT, because the LT is the result of the Einstein synchronization convention or simply the realization of the symmetry transformations of Minkowski spacetime (proper orthochronous Poincare transformations) in the most convenient coordinates (Lorentzian ones).

For illustration you can also draw the Minkowski diagrams for all three cases. It's a very good exercise in learning, how to read those diagrams.
 
  • Like
Likes   Reactions: Ibix and PeroK
  • #89
Einstein's thought experiment is confusing because S is supposed to "observe" two light pulses at the platform, which S' has emitted in the middle of the train. The similarity with tennis balls is too great.
It is better to imagine that S and S' each emit a light pulse in different directions when they meet, so that the two photons at the tips of the light pulses propagate together (no photon can overtake another).
The signal path of the light pulse of S (from the point of view of S) can never be of the same length as the signal path of the light pulse of S' (from the point of view of S'), because although the photons at the tips of the light pulses are always on the same level, the observers S and S' have moved away from each other. For each observer, the length of his signal path is also the length of his signal time (light-like distance).
Thus, if the signals arrive at the ends of the train at the same time from the point of view of S' when the signal paths are of equal length (simultaneous events), then they cannot possibly arrive at the same time from the point of view of S when the signal paths are of unequal length (non-contemporaneous events).
This is sufficient to derive the L-T.

Peter Strohmayer
 
  • #90
Peter Strohmayer said:
the two photons at the tips of the light pulses propagate together
What do you mean by this? The photons are propagating in different directions so they are never "together" after the point of emission.

Peter Strohmayer said:
the photons at the tips of the light pulses are always on the same level
What do you mean by "on the same level"?
 

Similar threads

  • · Replies 12 ·
Replies
12
Views
2K
  • · Replies 6 ·
Replies
6
Views
2K
  • · Replies 17 ·
Replies
17
Views
2K
  • · Replies 54 ·
2
Replies
54
Views
5K
  • · Replies 36 ·
2
Replies
36
Views
5K
  • · Replies 20 ·
Replies
20
Views
3K
  • · Replies 39 ·
2
Replies
39
Views
4K
  • · Replies 17 ·
Replies
17
Views
2K
  • · Replies 22 ·
Replies
22
Views
5K
  • · Replies 50 ·
2
Replies
50
Views
3K