A question about the derivation of Fermion Quantization in QFT

Click For Summary
SUMMARY

The discussion centers on the derivation of Fermion Quantization in Quantum Field Theory (QFT), specifically addressing the contraction of the index ##c## as a representation of matrix multiplication. The participants clarify that the element of the product of two matrices follows the formula $$(AB)_{mn} = \sum_{k}A_{mk}B_{kn}$$, adhering to Einstein summation convention for indices appearing twice. Additionally, they note that lifting and lowering indices is straightforward due to the trivial nature of the metric involved.

PREREQUISITES
  • Understanding of Quantum Field Theory (QFT)
  • Familiarity with matrix multiplication and notation
  • Knowledge of Einstein summation convention
  • Basic concepts of metric tensors in physics
NEXT STEPS
  • Study the principles of Fermion Quantization in Quantum Field Theory
  • Explore advanced matrix multiplication techniques in theoretical physics
  • Learn about Einstein summation convention and its applications
  • Investigate the role of metric tensors in QFT and their implications
USEFUL FOR

Physicists, graduate students in theoretical physics, and researchers interested in Quantum Field Theory and the mathematical foundations of particle physics.

Andrew3
Messages
1
Reaction score
0
Homework Statement
I am studying the part of Fermion Quantization in QFT. However, I am puzzled about the derivation in one class in youtube.
https://www.youtube.com/watch?v=FNxespJgDDE&list=PLbMVogVj5nJQ3slQodXQ5cSEtcp4HbNFc&t=826s
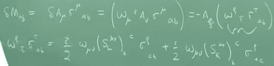
At 13:46, why does (sigma^3)_a^c (sigma^1)_{cb}=(sigma^3 sigma^1)_{ab}?
Relevant Equations
sigma^0 is the unit. sigma^k is the pauli matrices (k=1,2,3). 'a','b' and 'c' denotes the indexes of matrices elements.
fermionqm1.png
fermionq0.png
fermionq1.png
fermionq2.jpg
 

Attachments

  • fermionqm1.png
    fermionqm1.png
    5.3 KB · Views: 226
Physics news on Phys.org
Because contraction of the ##c## index is just an index form of noting matrix multiplication. What he wrote is just matrix multiplication law for those matrices. For example, the element of product of two matrices is:
$$(AB)_{mn} = \sum_{k}A_{mk}B_{kn}$$
In the notation on the board, the sum is implied over indices that appear twice(that's Einstein summation convention), and also lifting and lowering indices is probably trivial since metric is trivial.
 

Similar threads

Replies
0
Views
2K
Replies
1
Views
2K
Replies
9
Views
3K
  • · Replies 3 ·
Replies
3
Views
2K
  • · Replies 3 ·
Replies
3
Views
2K
  • · Replies 10 ·
Replies
10
Views
2K
Replies
1
Views
1K
Replies
1
Views
1K
Replies
1
Views
2K
Replies
4
Views
2K