Acrylic (PMMA) rotating disc tensile strength calculation

Click For Summary

Discussion Overview

The discussion centers on calculating the tensile strength of acrylic (PMMA) rotating discs, focusing on their safe operational RPM and the factors affecting their structural integrity. Participants explore the material properties of PMMA, attachment methods, and potential failure modes, along with practical considerations for use in applications.

Discussion Character

  • Exploratory
  • Technical explanation
  • Debate/contested

Main Points Raised

  • One participant describes the dimensions and weight of PMMA discs and seeks to determine a safe RPM zone for operation.
  • Another participant raises concerns about PMMA's brittleness and emphasizes the importance of surface finish to prevent sudden failure.
  • Concerns are expressed regarding the attachment of PMMA to the shaft, suggesting that high thermal contraction could induce hoop forces, recommending clamping methods for stability.
  • Information is shared about PMMA's properties, including its water absorption ratio and tensile strength, with a participant noting that tensile strength decreases with increased water absorption.
  • One participant shares personal experience with PMMA's brittleness compared to polycarbonate, noting that PMMA can withstand significant impact before breaking.
  • A participant mentions using an online calculator to estimate tensile stress at 1200 RPM, reporting low stress values that suggest safe operation.
  • Suggestions are made for checking for strain using crossed polarisers and for modifying the disc design to include stress relief features.

Areas of Agreement / Disagreement

Participants express varying levels of concern regarding the brittleness of PMMA and the adequacy of the attachment method to the shaft. While some agree on the importance of surface finish and stress relief, there is no consensus on the best practices for ensuring safety and performance.

Contextual Notes

Participants mention various factors that could affect the tensile strength calculations, including surface finish, attachment methods, and environmental conditions, but these factors remain unresolved in terms of their impact on the overall safety of the discs.

artis
Messages
1,479
Reaction score
977
Hey folks,

I've been looking around but can't piece this together as there are more than one equation and variable to take into account.

My situation - I have a pmma material disc on an axis , the center hole (axis hole) is 20mm wide so a radius of 10mm, while the outer edge is at a radius of 194mm from the center. The disc is 15mm thick and another one is 10mm thick.
I calculated from the given weight per square meter that my discs should weigh approximately 2kg for the 15mm thick disc and 1.4kg for the 10mm thick disc.

Given this information can I arrive at a safe RPM zone to know what is the tensile stress at certain RPM?
I do have a metal shield but still I don't like sudden surprises.

I'm running the discs at about 1200 RPM.
 
Engineering news on Phys.org
I'm not familiar with PMMA - is it a brittle material? If so, the surface finish of the ID and OD is critical. Those surfaces should be smooth, or even polished. Brittle materials are very subject to sudden failure that can start with a microscopic crack. And yes on the metal shield. Brittle materials need large safety factors because they are very sensitive to surface finish. Also, they tend to fail suddenly.

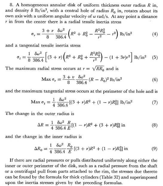
This excerpt from Formulas for Stress and Strain, 5th Edition, by Roark and Young, tells how to calculate the stresses in a spinning disk with a center hole:
Spinning disk.jpg


The symbol ##\nu## is Poisson's ratio.
 
  • Like
Likes   Reactions: Lnewqban and artis
I would be concerned about how the PMMA is attached to the shaft. High thermal contraction could generate significant hoop forces on the inner diameter, so maybe it should be clamped between two flanges like Belleville washers. Retention of the initial balance may be another problem if it cannot be kept centred on the shaft by some elastic spacer such as an O-ring.

https://en.wikipedia.org/wiki/Poly(methyl_methacrylate)
Wikipedia says; "PMMA has a maximum water absorption ratio of 0.3–0.4% by weight. Tensile strength decreases with increased water absorption. Its coefficient of thermal expansion is relatively high at (5–10)×10−5 per °C."
 
  • Like
Likes   Reactions: Nik_2213 and Lnewqban
PMMA = Polymethyl methacrylate

Plexiglass & Lucite (trade names in the USA) or Perspex (In the UK) or Crystalite (somewhere)

Cheers,
Tom
 
jrmichler said:
I'm not familiar with PMMA - is it a brittle material?
It is somewhat brittle but definitely not anywhere close to actual glass. I have tried to smash my older failed test pieces just out of curiosity and it took quite a smack against a sharp masonry wall surface to produce a split in two and that was after many repeated attempts. So it is pretty rough.
Unlike polycarbonate (the material rally car side windows are made of) it is somewhat stiff, in this sense when it cracks it does produce a "line" of breakage much like glass, polycarbonate on the other hand stretches like rubber and only breaks when it is severely deformed.
That's my experience while working with both.

Baluncore said:
I would be concerned about how the PMMA is attached to the shaft.
It has a very close size to fit the shaft just right to not produce movement radially and stay on center. It is attached by aluminum disc like holders from each side that have metal screws going through them and the disc to fasten it in place. The only parts actually attached to the shaft are the aluminum washers.

The water absorption I think is a non issue given I keep it in a dry place and the temperature of the disc is constant room temp.
I was bit lazy and tired given it's sunday evening and I found a nice page with an online calculator ,
https://amesweb.info/StructuralAnalysisBeams/Stresses-Rotating-Rings.aspx

I entered all the ratios specific to PMMA and my RPM count of 1200, it gave me very low numbers. The tensile strength of cast PMMA is from 30 to 50 MPa according to google, so for 1200 RPM it shows the tensile stress near the center is only 0.5 MPa , so technically I'm far within the safe area.
I input 10k RPM just for fun and it still was only around 20 MPa so technically ok.
I found that crazy somewhat that such a hard plastic can take such abuse and still seems to stand.
 
May I suggest checking your sheets before and after cutting to disk(s) using crossed polarisers to display strain focii ?? Also, you may find necessary to 'bevel & buff' all edges....

Can you add pattern of bevelled holes for stress relief, akin to 'expansion' slots on circular saw blades ?

Can such plastics be annealed / stress-relieved by eg warm-storage ??

FWIW, I had interesting experience re-purposing some 'Perspex' off-cuts to side-rail a cleated cat-ramp. Soon learned that spear-point 'glass / tile drills' take rather longer than 'recommended' twist types, but were much more reliable as mostly avoided cracking. Unlike you, I could add a tiny crack-stop hole, super-glue...

( FWIW, I used 'trad' rubber 3/4" tap-washers as stand-off spacers to provide drainage and 'wriggle room'...)
 
  • Informative
Likes   Reactions: berkeman

Similar threads

  • · Replies 14 ·
Replies
14
Views
1K
Replies
4
Views
5K
  • · Replies 9 ·
Replies
9
Views
3K
  • · Replies 11 ·
Replies
11
Views
3K
  • · Replies 8 ·
Replies
8
Views
7K
  • · Replies 4 ·
Replies
4
Views
2K
  • · Replies 7 ·
Replies
7
Views
3K
  • · Replies 6 ·
Replies
6
Views
2K
  • · Replies 3 ·
Replies
3
Views
2K
Replies
13
Views
4K