Another integral problem that really is a problem (for me )?

  • Thread starter Thread starter mooncrater
  • Start date Start date
  • Tags Tags
    Integral
Click For Summary
SUMMARY

The discussion revolves around solving a specific integral problem using the formula cos(x) = cos(x/2)^2 - sin(x/2)^2. Participants emphasize the importance of applying this trigonometric identity in the denominator to simplify the integral. The shared attempts at the solution highlight common challenges faced when tackling such integrals. Overall, the conversation underscores the necessity of mastering trigonometric identities for effective problem-solving in calculus.

PREREQUISITES
  • Understanding of integral calculus
  • Familiarity with trigonometric identities
  • Proficiency in manipulating algebraic expressions
  • Experience with mathematical problem-solving techniques
NEXT STEPS
  • Study advanced integral techniques in calculus
  • Explore the application of trigonometric identities in integration
  • Practice solving integrals involving complex functions
  • Learn about numerical methods for integral approximation
USEFUL FOR

Students and professionals in mathematics, particularly those focusing on calculus and integral equations, will benefit from this discussion.

mooncrater
Messages
215
Reaction score
18
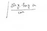
The question is an integral that has been attached .
Related equations :
N\a
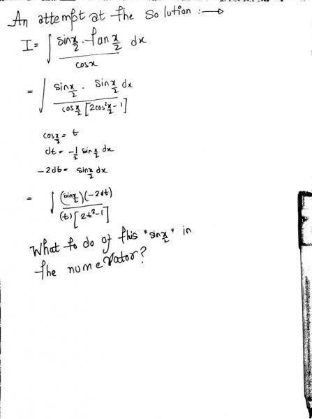
An attempt to the solution :
Attached.
 

Attachments

  • 1424493809764.jpg
    1424493809764.jpg
    16 KB · Views: 440
  • 1424493984965.jpg
    1424493984965.jpg
    9.1 KB · Views: 429
Physics news on Phys.org
HINT:use the formula cos(x)=cos(x/2)^2-sin(x/2)^2 in denominator.And then try again.
 

Similar threads

  • · Replies 5 ·
Replies
5
Views
2K
  • · Replies 1 ·
Replies
1
Views
2K
Replies
6
Views
1K
  • · Replies 2 ·
Replies
2
Views
1K
  • · Replies 7 ·
Replies
7
Views
2K
Replies
9
Views
3K
  • · Replies 3 ·
Replies
3
Views
1K
Replies
4
Views
2K
  • · Replies 2 ·
Replies
2
Views
1K
  • · Replies 6 ·
Replies
6
Views
2K