Average energies (thermodynamics)

Click For Summary

Discussion Overview

The discussion revolves around the average internal energy of a system in the context of thermodynamics, specifically using the partition function in Boltzmann statistics. Participants explore the mathematical derivation and implications of the partition function and its derivatives, addressing potential errors in reasoning and calculations.

Discussion Character

  • Technical explanation
  • Mathematical reasoning
  • Debate/contested

Main Points Raised

  • One participant discusses the expansion of the average internal energy in terms of the partition function and expresses confusion about the derivative taken with respect to 'kT'.
  • Another participant suggests using LaTeX for clarity and reiterates the importance of maintaining terms within the summation when differentiating.
  • A later reply questions the cancellation of terms in the equations presented, specifically regarding the exponential terms and their placement in the sums.
  • Some participants argue that the numerator and denominator cannot be simplified as suggested, referencing the distributive property of multiplication.
  • Another participant points out that unless the internal energy is the same for all states, cancellation in the sums is not valid.
  • One participant acknowledges a mistake in their reasoning and expresses a lack of confidence in their mathematical background.

Areas of Agreement / Disagreement

Participants express differing views on the validity of certain mathematical manipulations and the implications of the partition function. There is no consensus reached regarding the correct approach to the problem, and confusion remains about specific steps in the derivation.

Contextual Notes

Limitations include potential misunderstandings of mathematical properties, dependence on the definitions of terms used, and unresolved steps in the derivation process.

iScience
Messages
466
Reaction score
5
http://i.imgur.com/QFRCRZr.jpg (the black numbers are just so i can make references throuhout this thread, they're not part of my notes)

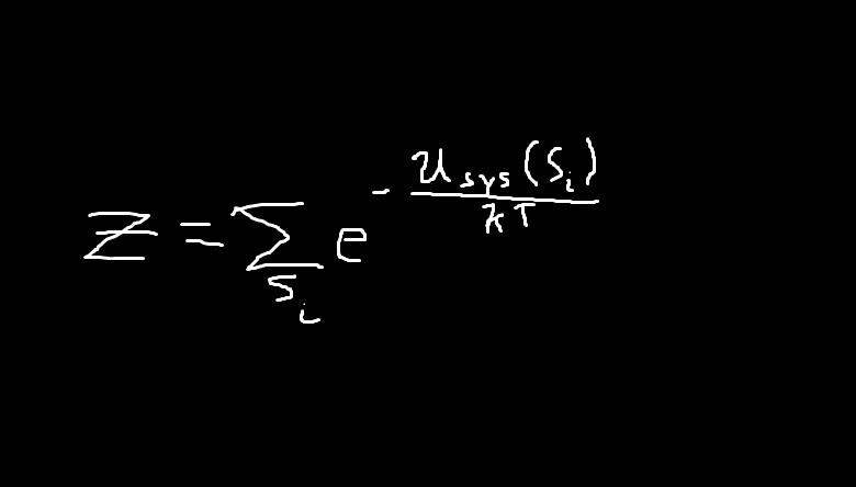
(z is the partition function for Boltzmann statistics)

so the first four lines is just expanding an expression for the average internal energy of a system in terms of the partition function z.

the argument of line 7 is that since line 6 is in the same form as line 4, it must be equal to the avg internal energy.

----------------

Okay so, i understand lines 1~4. the problem is on line 5, but first i want to discuss the partition function.

TGWu6oi.png


So the energies for all the available states to a system are summed up. in other words the numerator of the power is -Uall. So when we take the derivative of this function w/ respect to the quantity 'kT' in line 5, if we are to leave this just in terms of the -Usys(Si), instead of simply writing.. Uall, then ALL the terms must be enclosed by the sum. So then if this is the case, then in line 6, the..
TGWu6oi.png
..term should also be enclosed by the sum. If this is the case, then that is just z, and this should cancel with the 1/z term.

This is wrong, but i just don't know where i went wrong. please do ask me to clarify something if you are confused

thanks
 
Last edited:
Science news on Phys.org
First: it will seriously help you to learn LaTeX:
Typing: z=\sum_{s_i} \exp\left[-\frac{u_{sys}(s_i)}{kT}\right] inside doubled dollar-signs gets you: $$z=\sum_{s_i} \exp\left[-\frac{u_{sys}(s_i)}{kT}\right]$$
So when we take the derivative of this function w/ respect to the quantity '[β=1/kT]' in line 5, if we are to leave this just in terms of the -Usys(Si), instead of simply writing.. Uall, then ALL the terms must be enclosed by the sum. So then if this is the case, then in line 6, the..
... so you did: $$\frac{d}{d(1/kT)}z=\frac{d}{d(1/kT)}\sum_{s_i} \exp\left[-\frac{u_{sys}(s_i)}{kT}\right]=-\sum_{s_i} u_{sys}(s_i)\exp\left[-\frac{u_{sys}(s_i)}{kT}\right]$$ .
...then that is just z, and this should cancel with the 1/z term.
... but would mean that: $$-\sum_{s_i} u_{sys}(s_i)\exp\left[-\frac{u_{sys}(s_i)}{kT}\right] = \left( z=\sum_{s_i} \exp\left[-\frac{u_{sys}(s_i)}{kT}\right]\right)$$ ... how does that work?
 
In your last line, I'm not referring to the entire LHS I'm only referring to the exp term on the LHS, which should be inside the sum as well, which IS z. but then why don't they cancel?
 
Well - why would they ... your eq. 6 is basically: $$\mathcal{X}(-\frac{1}{z})= \frac{-\sum_{s_i} u_{sys}(s_i)\exp\left[\frac{u_{sys}(s_i)}{kT}\right]}{\sum_{s_i} \exp\left[-\frac{u_{sys}(s_i)}{kT}\right]}$$ ... so you show me which bit did you think cancels with what?

See also your note from step 4.
Do the intermediate steps. Does the value of ##u_{sys}## depend on the state?
 
Does the value of Usys depend on the state?

yes

... so you show me which bit did you think cancels with what?

Right hand side:

(i'm going to just exclude the negatives since they cancel anyway (there are two negatives, one was manually added from the $$-\frac{1}{z}$$ term, and the other negative that you forgot to put comes from the $$-U_{sys}(s_i)$$ term)) (also, the numerator exp term in your equation should be to the negative power since z itself is an exponential function to the negative power (line 5))

$$\frac{\sum_{s_i} U_{sys}(s_i) \exp\left[-\frac{U_{sys}(s_i)}{kT}\right]}{\sum_{s_i} \exp\left[-\frac{U_{sys}(s_i)}{kT}\right]} = \frac{[\sum_{s_i} U_{sys}(s_i)] [\sum_{s_i} \exp\left[-\frac{U_{sys}(s_i)}{kT}\right]]}{\sum_{s_i} \exp\left[-\frac{U_{sys}(s_i)}{kT}\right]}$$

that's what i meant by 'the exp term being inside the sum'; so more explicitly wrote it out as both the numerator terms being part of the sum. so now you can see that the exp terms in the numerator and the denominator can both cancel
 
Last edited:
What you did in the numerator is not valid. Look at it this way:
$$a_1 b_1 + a_2 b_2 + \cdots + a_N b_N \ne (a_1 + a_2 + \cdots + a_N)(b_1 + b_2 + \cdots + b_N)$$
To make it even simpler, try it for N = 2:
$$a_1 b_1 + a_2 b_2 \ne (a_1 + a_2)(b_1 + b_2)$$
and multiply out the right hand side to see the extra terms that make it not equal.
 
What he said. It's the distributive property of multiplication.
Each individual term in the sum in the numerator gets divided by the entire sum in the denominator.
Unless Usys is the same for all states, it won't cancel out.

i.e. Expand out equation 6 (see the post #4 version - correcting typos).$$\mathcal{X}(-\frac{1}{z})= \frac{-\sum_{s_i} U_{sys}(s_i)\exp\left[-\frac{U_{sys}(s_i)}{kT}\right]}{\sum_{s_i} \exp\left[-\frac{U_{sys}(s_i)}{kT}\right]}\\ \qquad

=-\frac{U_{sys}(s_1)\exp\left[-\frac{U_{sys}(s_2)}{kT}\right]}{{\sum_{s_i} \exp\left[-\frac{U_{sys}(s_i)}{kT}\right]}}
-\frac{U_{sys}(s_2)\exp\left[-\frac{U_{sys}(s_2)}{kT}\right]}{{\sum_{s_i} \exp\left[-\frac{U_{sys}(s_i)}{kT}\right]}}
-\frac{U_{sys}(s_3)\exp\left[-\frac{U_{sys}(s_3)}{kT}\right]}{{\sum_{s_i} \exp\left[-\frac{U_{sys}(s_i)}{kT}\right]}}-\cdots$$
(or however you are labelling your states...)
... how does the denominator cancel anything in the numerator?

Like jtBell says - pretend there are only two states and see what happens.

You can see why:$$\frac{\exp\left[-\frac{U_{sys}(s_k)}{kT}\right]}{{\sum_{s_i} \exp\left[-\frac{U_{sys}(s_i)}{kT}\right]}}\neq 1$$... right?
 
Last edited:
silly mistake. Sorry fellas, weak math background..
 
No worries - we all get to make those.
 

Similar threads

  • · Replies 4 ·
Replies
4
Views
3K
Replies
5
Views
1K
  • · Replies 3 ·
Replies
3
Views
2K
  • · Replies 1 ·
Replies
1
Views
2K
  • · Replies 1 ·
Replies
1
Views
2K
  • · Replies 2 ·
Replies
2
Views
2K
  • · Replies 1 ·
Replies
1
Views
2K
  • · Replies 2 ·
Replies
2
Views
3K
  • · Replies 4 ·
Replies
4
Views
3K
  • · Replies 8 ·
Replies
8
Views
2K