Average Energy density and the Poynting vector of an EM wave

Click For Summary
SUMMARY

The discussion focuses on calculating the average energy density and the Poynting vector of an electromagnetic wave as presented in Problem 9.12 of Griffiths' "Introduction to Electrodynamics," 4th edition. The average energy density is derived using the formula U = 1/2 * ɛ₀ * E² + 1/2 * μ₀ * B², where E and B represent the electric and magnetic fields, respectively. The Poynting vector is calculated using S = ɛ₀ * E × B, incorporating the respective fields. The calculations involve substituting the specific fields for the problem to derive the final expressions.

PREREQUISITES
  • Understanding of electromagnetic theory, specifically Maxwell's equations
  • Familiarity with Griffiths' "Introduction to Electrodynamics," 4th edition
  • Knowledge of vector calculus, particularly cross products
  • Basic concepts of energy density in electromagnetic fields
NEXT STEPS
  • Study the derivation of the Poynting vector in electromagnetic theory
  • Explore energy density calculations in different electromagnetic configurations
  • Review vector calculus applications in physics, focusing on cross products
  • Examine related problems in Griffiths' "Introduction to Electrodynamics" for practical applications
USEFUL FOR

Students of electromagnetism, physicists, and educators seeking to deepen their understanding of energy density and the Poynting vector in electromagnetic waves.

edfink1
Messages
3
Reaction score
5
Homework Statement
Average Energy density and the Poynting vector of an EM wave
Relevant Equations
energy density of the EM fields, Poynting vector
Hi,
In Problem 9.12 of Griffiths Introduction to Electrodynamics, 4th edition (Problem 9.11 3rd edition), in the problem, he says that one can calculate the average energy density and Poynting vector as


Screen Shot 2021-02-16 at 12.05.19 AM.png

using the formula
Screen Shot 2021-02-16 at 12.06.48 AM.png


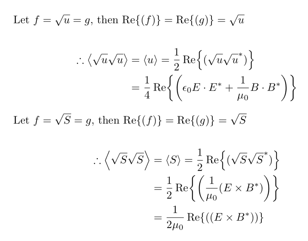
I don't really understand how to do this. I show my attempt below, but I don't think it is good. Can someone explain if it is really all there is to it?
Screen Shot 2021-02-16 at 12.15.14 AM.png
 
  • Like
Likes   Reactions: Delta2
Physics news on Phys.org
My attempt: To calculate the average energy density, we use the formulaU = 1/2 * ɛ₀* E² + 1/2 * μ₀ * B². Where E and B are the electric and magnetic fields, respectively. Substituting the fields for this problem gives usU = 1/2 * ɛ₀ * (E₁ + E₂)² + 1/2 * μ₀ * (B₁ + B₂)².To calculate the Poynting vector, we use the formulaS = ɛ₀*E×BSubstituting the fields for this problem gives usS = ɛ₀ * (E₁ + E₂) × (B₁ + B₂).
 

Similar threads

  • · Replies 38 ·
2
Replies
38
Views
3K
  • · Replies 39 ·
2
Replies
39
Views
13K
Replies
8
Views
2K
  • · Replies 4 ·
Replies
4
Views
2K
  • · Replies 1 ·
Replies
1
Views
7K
  • · Replies 1 ·
Replies
1
Views
2K
Replies
118
Views
18K
  • · Replies 1 ·
Replies
1
Views
1K
  • · Replies 0 ·
Replies
0
Views
2K
Replies
50
Views
6K