Block Diagrams - Control Engineering. Basic Question

Click For Summary

Discussion Overview

The discussion revolves around creating a block diagram for a control system used in heating water in industrial applications. Participants explore the components and signals involved in the system, focusing on the relationship between desired and actual temperatures, and how these are represented in a block diagram format.

Discussion Character

  • Homework-related
  • Technical explanation
  • Conceptual clarification
  • Debate/contested

Main Points Raised

  • One participant presents a block diagram attempting to represent a control system for regulating hot water temperature based on fuel supply.
  • Another participant critiques the initial diagram, noting the need for arrows to indicate input and output signals, and clarifies that the desired temperature should not have incoming arrows.
  • There is a discussion about the role of the summing junction, which should compare desired and actual temperatures to produce an error signal.
  • Participants suggest that the error signal should be amplified and used to control the fuel flow, which in turn affects the water temperature.
  • One participant shares a similar diagram to illustrate basic elements of control systems, prompting further discussion on inputs and outputs.
  • Subsequent attempts at revising the block diagram are shared, with participants providing feedback on the accuracy and clarity of the components and signals represented.
  • There is a request for resources to better understand how to construct block diagrams, indicating a need for foundational knowledge in the topic.
  • Participants discuss the importance of clearly marking connections between blocks with appropriate electrical signals.

Areas of Agreement / Disagreement

Participants express differing views on the correct representation of components and signals in the block diagram. There is no consensus on the final structure of the diagram, and several competing interpretations of the system remain unresolved.

Contextual Notes

Some participants highlight the need for clarity in distinguishing between electrical and non-electrical components in the block diagram, as well as the importance of accurately mapping original components to their corresponding blocks. There are indications of missing assumptions regarding the electrical nature of certain components.

Who May Find This Useful

This discussion may be useful for students or individuals new to control engineering, particularly those seeking to understand the construction and interpretation of block diagrams in control systems.

Femme_physics
Gold Member
Messages
2,548
Reaction score
1
(Go on easy on me, this is my first attempt and first course at control engineering)

Homework Statement



In systems who has a huge consumption of hot water, such as food factories, chemical industries or hospitals, it's customary to heat the water through fuel type "mazut". the hot water supply is modifiable, according to consumers use. The changes in water supply affect the hot water temperature. The control system in the drawing is based on regulating the fuel supply to the blowtorch.

http://img408.imageshack.us/img408/4324/schemeeng.jpg Build a block diagram of the system, when the entrance and exit signal are the desire temperature (Tr) and the existing temperature (Tc) of the hot water.

The Attempt at a Solution



http://img842.imageshack.us/img842/320/61723306.jpg
 
Last edited by a moderator:
Physics news on Phys.org
Your diagram doesn't seem right to me. The desired temperature is an input to the system. Nothing should go into this input (no arrows should point to Tr block). You don't have any arrows in your diagram, which makes it hard to determine what is an input to a block, and what is an output. This kind of block diagram should have arrows.

The desired temperature is specified with an adjustable voltage. The desired temperature signal would not come from a transmitter, and I'm not sure sensor is the right word either. The diagram for this input indicates the desired temperature signal (Ur) comes from a potentiometer. A person would adjust the potentiometer to set the desired temperature.

The summing junction essentially should compare the desired temperature with the actual temperature from the sensor. This would produce an error signal (Ue). The error signal would represent the amount the temperature needed to be changed. Your diagram has only one signal going into the summing junction, which is wrong.

Now there are a number of things which would happen to the error signal (Ue). First it is amplified resuling in Um. Then the signal Um is applied to an electromagnet. The electromaget signal determines the fuel flow. The fuel flow can be thought of as the input to another system, which detemines the temperature of the water. Obviously this system would have memory because the temperature would depend not only on the fuel flow but also the starting temperature. The temperature would be measured by a sensor producing the "Meatured Temp" signal.

Your block diagram should have blocks that correspond to this chain of things starting with the error signal and ending with "Meatured Temp" signal.
 
Last edited:
Hi Fp!

I like that you got a new field of learning and posted on PF! :smile:
Just out of curiosity, which courses do you have this semester?


As for you diagram, I believe there is usually an input.
Which would the input be?

Energy is usually not modeled.
It is assumed to be universally present whenever you need it.


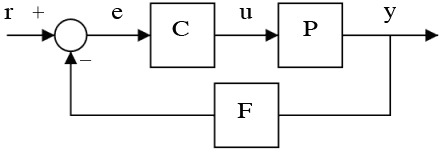
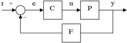
Here's a somewhat similar diagram, showing what I mean:

Simple_feedback_control_loop2.png


It also shows the basic elements (F=feedback sensor, C=controller, P=plant or system).
 
Femme_physics said:
Alright, I've taken both your feedbacks into consideration and gave it another shot...makes more sense, right?

http://img577.imageshack.us/img577/7163/desiredvalue.jpg

Yes, this makes more sense.

Now let's see if we can match the components and signals you have in your drawings.
I'm going to limit myself to the components that have an electrical input or output.

Can you fill in the empty cells, or mark them in your block diagram?

\begin{array}{| l | l |}<br /> \hline \\<br /> \textbf{Original electrical component} &amp; \textbf{Block diagram} \\ <br /> \hline \\<br /> Potentiometer &amp; \textit{Potentiometer (introductory)} \\ <br /> \hline \\<br /> ? &amp; \textit{Junction node} \\ <br /> \hline \\<br /> ? &amp; Controller \\ <br /> \hline \\<br /> Amplifier &amp; Amplifier \\ <br /> \hline \\<br /> \textit{Electro-magnet} &amp; \textit{Electro-magnet + Fuel valve} \\ <br /> \hline \\<br /> &amp; Blowtorch \\ <br /> \hline \\<br /> ? &amp; \textit{Feedback potentiometer} \\ <br /> \hline \\<br /> Reductor &amp; ? \\<br /> \hline \\<br /> \textit{Temp. sensor} &amp; ? \\<br /> \hline \\<br /> \ &amp; \ \\<br /> \hline \\<br /> \textbf{Electrical Signals} &amp; \\<br /> \hline \\<br /> U_r &amp; ? \\ <br /> \hline \\<br /> U_e &amp; ? \\ <br /> \hline \\<br /> U_m &amp; ? \\ <br /> \hline \\<br /> U_b &amp; ? \\ <br /> \hline \\<br /> \textit{Measured temperature} &amp; ? \\ <br /> \\<br /> \end{array}Oh, and you didn't say which courses you are having this semester.
Or don't you want to?
 
Last edited by a moderator:
Oh, and you didn't say which courses you are having this semester.
Or don't you want to?

Sorry, I was distracted!

Control Engineering
Electronics (many classes)
Hydraulics
Robotics CIM (introductory robotics class)
Materials Strength
Materials Strength labAt any rate, I will try solving it tomorrow. :smile: thanks.
 
Last edited by a moderator:
Femme_physics said:
http://img705.imageshack.us/img705/9374/notsured.jpg

Better?

Hmm. I'm not sure what to write in the electrical signals. Any hints?

I told you, am new to it!

I know you're new to it!
But you want to impress everyone don't you?

So if you try to explain to anyone, you should be able to say what in the original diagram goes where in your block diagram.
And the main thing is that you think about it.



I don't expect you to map the electrical signals to blocks in your block diagram.
But I'd like you to mark in your block diagram the lines with the electrical signals.
An electrical signal goes over a wire you know, so they're between blocks.


Now let's see.
I'll pick out a couple of your choices.


You have added "Blowtorch" as "Original electrical component" and mapped it to the "Controller" in your block diagram.
But the Blowtorch doesn't control anything does it?
And it isn't electrical.


You have mapped the Reductor to the Fuel Valve.
But if you look to your original figure, you should see that the Reductor is nowhere near the Fuel Valve.
Furthermore the Reductor has 3 electrical connections, but your Fuel Valve is not electrical at all.



And you mapped the "Temperature Sensor" to the "Container".
But "Container" is not one of the blocks in your block diagram.
 
Last edited by a moderator:
Hmm, as I think it over I think I need a good tutorial about building a block diagram.
I really did try google but it's not helping me. I am truly lost, and feel like I have a too deep hole and no idea of how to build a block diagram, how to do proper analogy from original electrical component to block diagram.

Can I be helped to some resources that are relevant?
 
  • #10
Well, a block diagram is nothing other than that you draw each component in your original diagram as a block.
And then you connect the blocks with lines, just like the components are connected in your original diagram.

The best way to learn it, is by simply doing it, and thinking about it.
Perhaps it would help to see a few examples.You did fine, except that it was not obvious to me which component went where in your block diagram.
And I was also not clear what the connections between the blocks representedSince this is about control theory, we're talking about electrical components.
So any component that does not have an electrical input or output might be left out (or not as you please).

So the first question is: which electrical components do you have exactly?
And the second question is: which inputs and outputs do they have?
 
  • #11
Well, a block diagram is nothing other than that you draw each component in your original diagram as a block.

Done :P

You did fine, except that it was not obvious to me which component went where in your block diagram.
And I was also not clear what the connections between the blocks represented

And how do I mark those connections? With Ur, Ue, Um and Ub?

So the first question is: which electrical components do you have exactly?

Reductor, Amplifier, Electro-Magnet, Blowtorch (if activated by an electrical device), Temp' Sensor

And the second question is: which inputs and outputs do they have?

Fuel that begins an electro-mechanical chain of reaction.
 
  • #12
Femme_physics said:
And how do I mark those connections? With Ur, Ue, Um and Ub?

Yes.
Femme_physics said:
Reductor, Amplifier, Electro-Magnet, Blowtorch (if activated by an electrical device), Temp' Sensor

Good!

But the blowtorch does not have an electrical input, but it is indirectly controlled by the Electro-Magnet.
Femme_physics said:
Fuel that begins an electro-mechanical chain of reaction.

Huh? :confused:
Fuel is not electrical. It is a fluid that burns.
 
  • #13
Btw, you can draw 2 types of block diagrams.
One for only the electrical components to model the electrical signal.
And one for all the components, modelling the functional behavior of the entire system.

Looking back at the problem statement and questions, I think the entire system is intended, which includes the non-electrical components.
 
Last edited:
  • #14
I noticed that somehow my attachment after saying "done" didn't get through.

That was supposed to be it:

http://img705.imageshack.us/img705/2407/blowblowd.jpg

After you said "Well, a block diagram is nothing other than that you draw each component in your original diagram as a block.
"

So I took your advice :biggrin:

"And how do I mark those connections? With Ur, Ue, Um and Ub?"
Yes.

What do they stand for, exactly, I wonder?

Fuel is not electrical. It is a fluid that burns.

So I'll change my answer to just "fuel"
 
Last edited by a moderator:
  • #15
Femme_physics said:
I noticed that somehow my attachment after saying "done" didn't get through.

That was supposed to be it:

http://img705.imageshack.us/img705/2407/blowblowd.jpg

After you said "Well, a block diagram is nothing other than that you draw each component in your original diagram as a block.
"

So I took your advice :biggrin:

Good!

But how is the blowtorch connected to the scale?

The blowtorch should be connected to the temperature sensor, because the blowtorch gives of heat, and due to the heat the temperature sensor will measure a higher temperature.

Then your problem asks for a block diagram with as input the desired temperature.
Where is it?
It should come in as an arrow from the left.

And your problem asks for an output in the form of the existing temperature.
This would be the signal coming from the temperature sensor.


Femme_physics said:
What do they stand for, exactly, I wonder?

U stands for voltage.

Ur is the "reference" voltage indicating Tr, which is the reference temperature (aka desired temperature).

Ue is the error voltage, which is the difference between the inputs (indicating reference temperature and measured temperature).

Um is probably the "magnified" voltage, which is the input for the electro-magnet.

Ub is the "feedback" voltage, not sure why it's a "b" though.
This represents the measured temperature.


Femme_physics said:
So I'll change my answer to just "fuel"

That's okay.
 
Last edited by a moderator:
  • #16
Good!

But how is the blowtorch connected to the scale?

The blowtorch should be connected to the temperature sensor, because the blowtorch gives of heat, and due to the heat the temperature sensor will measure a higher temperature.

Makes sense, but I did do what you told me-- to just put the words in blocks. Now it appears it's more of a game of engineering logic (which I have not yet acquired [soon! :) ]) than just writing what I see.

Then your problem asks for a block diagram with as input the desired temperature.
Where is it?
It should come in as an arrow from the left.

Hmm... so
After blowtorch -> temp' sensor

and from temp sensor there is an arrow to the left for scale. Yes?

U stands for voltage.

Ur is the "reference" voltage indicating Tr, which is the reference temperature (aka desired temperature).

Ue is the error voltage, which is the difference between the inputs (indicating reference temperature and measured temperature).

Um is probably the "magnified" voltage, which is the input for the electro-magnet.

Ub is the "feedback" voltage, not sure why it's a "b" though.
This represents the measured temperature.
Thanks. I'm not entirely sure how to place them yet. I'll do a sketch at home.

That's okay.

Good :)
 
  • #17
Femme_physics said:
Makes sense, but I did do what you told me-- to just put the words in blocks. Now it appears it's more of a game of engineering logic (which I have not yet acquired [soon! :) ]) than just writing what I see.

The first step is to put the words in blocks.
The second step is to put the lines that are between the words also between the blocks.

And then an extra line to represent that someone turns the knob to set the desired temperature (the "scale" is the knob).

And another extra line to represent what comes out of the system (hot water, or rather the measured temperature).


Femme_physics said:
Hmm... so
After blowtorch -> temp' sensor

Yes. :)


Femme_physics said:
and from temp sensor there is an arrow to the left for scale. Yes?

Can you check the original diagram?
The temp sensor is connected the another word there.


Femme_physics said:
Thanks. I'm not entirely sure how to place them yet. I'll do a sketch at home.

I'll be waiting! :smile:
 
  • #18
Last edited by a moderator:
  • #19
Looks good!
(I like your drawing! :wink:)

I think you still need someone burning his hands on the right. :eek:

And perhaps the names of the lines (Ur, Um, etcetera)?
 
  • #20
Tbh, I think you have the creativity to make something of an architect of yourself if you want to and if you can find the wherewithal within yourself.
One of the things an architect needs to learn though, is how to create and understand block diagrams...
 
  • #21
Tbh, I think you have the creativity to make something of an architect of yourself if you want to and if you can find the wherewithal within yourself.
One of the things an architect needs to learn though, is how to create and understand block diagrams...

Heh. Well, I heard that before, but I don't really have much passion for that... I love robots! Machines! Mechatronics! Much more challenging and interesting.

I think you still need someone burning his hands on the right.

hehe...that's excited finger biting

And perhaps the names of the lines (Ur, Um, etcetera)?
Yes sir!
http://img46.imageshack.us/img46/3842/trytryi.jpg
 
Last edited by a moderator:
  • #22
Femme_physics said:
Heh. Well, I heard that before, but I don't really have much passion for that... I love robots! Machines! Mechatronics! Much more challenging and interesting.

I do not mean an architect who designs buildings, but an architect who thinks up robots, or synthetic arms.
These people are also called architects.



Femme_physics said:
hehe...that's excited finger biting

I meant that on the right side of the block diagram an arrow should come out representing the hot temperature (and if you want you can draw a figure warming his hands on that ;).


Femme_physics said:

I'm afraid you drew for instance Ue in the wrong place.
In the original diagram Ue and Ur are between different words...

And perhaps you can draw the reductor as a circle with a + input and a - input, just like in your transfer function diagram in your other thread.
 
Last edited by a moderator:
  • #23
I do not mean an architect who designs buildings, but an architect who thinks up robots, or synthetic arms.
These people are also called architects.

I did not know that! But doesn't it make more since to call them mechanical engineers?

I meant that on the right side of the block diagram an arrow should come out representing the hot temperature (and if you want you can draw a figure warming his hands on that ;).

I should to that to the right of Temp Sensor? Just add a box saying "HOT HOT HOT!"

Fine!

http://img215.imageshack.us/img215/7852/ayey.png

I'm afraid you drew for instance Ue in the wrong place.
In the original diagram Ue and Ur are between different words...

And perhaps you can draw the reductor as a circle with a + input and a - input, just like in your transfer function diagram in your other thread.

Ah, I forgot I have Ue and Ur signified in the original diagram. Ok, all fixed :smile:
 
Last edited by a moderator:
  • #24
Femme_physics said:
I did not know that! But doesn't it make more since to call them mechanical engineers?

You have them too, but it's an architect that thinks up what mechanical engineers should do.


Femme_physics said:
I should to that to the right of Temp Sensor? Just add a box saying "HOT HOT HOT!"

Not a block, but an arrow that points to "HOT HOT HOT!". ;)

Like in this picture:
Simple_feedback_control_loop2.png



Femme_physics said:

Oh my.
The circle is supposed to represent the Reductor.
And now you seem to have lost the Amplifier.
Btw, the scale should be connected to the circle.
And the + and - next to the circle should be where they match the connection in the original drawing.
(The circle is a summing junction. See my picture in this post.)

Femme_physics said:
Ah, I forgot I have Ue and Ur signified in the original diagram. Ok, all fixed :smile:

Uummm... but they are still not between between the words that they are in the original diagram... :confused:
 
Last edited by a moderator:
  • #25
You have them too, but it's an architect that thinks up what mechanical engineers should do.

Oh, of course that's what I want to be, I just didn't know it's defined "architect"...but what's in a name? :wink:
Oh my.
The circle is supposed to represent the Reductor.
And now you seem to have lost the Amplifier.
Btw, the scale should be connected to the circle.
And the + and - next to the circle should be where they match the connection in the original drawing.
(The circle is a summing junction. See my picture in this post.)
I think I got it all straightened out now :smile:
http://img828.imageshack.us/img828/5637/hothotc.jpg
 
Last edited by a moderator:
  • #26
Yep! All rectified now! :wink:
 
  • #27
Thanks! :smile:
 

Similar threads

Replies
24
Views
5K
  • · Replies 5 ·
Replies
5
Views
3K
  • · Replies 2 ·
Replies
2
Views
8K
  • · Replies 7 ·
Replies
7
Views
2K
  • · Replies 4 ·
Replies
4
Views
2K
  • · Replies 2 ·
Replies
2
Views
9K
  • · Replies 39 ·
2
Replies
39
Views
4K
  • · Replies 13 ·
Replies
13
Views
5K
  • · Replies 12 ·
Replies
12
Views
3K
  • · Replies 4 ·
Replies
4
Views
3K