Calculate magnetic potential of a given current density

Click For Summary

Discussion Overview

The discussion revolves around calculating the magnetic vector potential \( A \) for a given current density in the context of magnetostatics, specifically focusing on a cylindrical geometry where the current density is a function of the radial coordinate \( s \).

Discussion Character

  • Technical explanation
  • Mathematical reasoning
  • Debate/contested

Main Points Raised

  • One participant expresses confusion about the equation for \( A \) in relation to a cylindrical current density \( J(s) \) and how to express the vector difference \( r - r' \).
  • Another participant clarifies that in magnetostatics, time variables can be ignored and explains that \( A \) is calculated by integrating the contributions from all current elements \( J(r') \) at different positions \( r' \).
  • A participant specifies their current density as \( J(s) = ks \), where \( k \) is a constant and \( s \) is the radius of the cylinder, and presents an expression for \( A \) that they derived.
  • In response, a participant points out potential issues with the derived expression, questioning the direction of \( J \), the inclusion of the position vector \( r \), and the need for integration limits.

Areas of Agreement / Disagreement

Participants do not reach a consensus on the correctness of the expression for \( A \) or the assumptions regarding the current density. Multiple viewpoints regarding the formulation and integration process remain present.

Contextual Notes

There are unresolved questions about the direction of the current density \( J \), the proper limits for integration, and the inclusion of the position vector \( r \) in the calculations.

TheBlueDot
Messages
16
Reaction score
2
Hello,

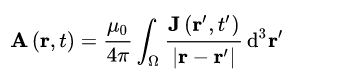
I'm current studying magnetostatics and I'm struggling to understand the equation for A. Here is the equation from Griffith in the attachment. My confusion is, if the object is a cylinder and the current density is a function of s, J(s), then how would I write r-r'?

Thank you!
 

Attachments

  • Capture.PNG
    Capture.PNG
    1.6 KB · Views: 652
Physics news on Phys.org
Since it is magnetostatics, everything is static and we can ignore the t and t'. What it says is that A at the point [itex]\vec{r}[/itex] is given by adding up all of the currents [itex]\vec{J}(\vec{r'})[/itex] at all points [itex]\vec{r'}[/itex] and dividing by the distance between [itex]\vec{r}[/itex] and [itex]\vec{r'}[/itex] Exactly how you write this depends on where the currents are flowing. When you say J(s), what is s? Do you mean a cylinder where current is only flowing on the surface of the cylinder?
 
Hi phyzguy,

Thank you for replying.
For the problem I'm looking at, J(s) = ks, where k is a constant and s is the radius of the cylinder.
With that J(s), I got $$A = \frac {\mu_{o}} {4\pi}\int \frac{a*s(sdsd\phi dz)}{s}\hat{z}$$. Is this correct?
 
TheBlueDot said:
Hi phyzguy, Thank you for replying.
For the problem I'm looking at, J(s) = ks, where k is a constant and s is the radius of the cylinder.
With that J(s), I got $$A = \frac {\mu_{o}} {4\pi}\int \frac{a*s(sdsd\phi dz)}{s}\hat{z}$$. Is this correct?

No, you're still missing a couple of things. First, what is the direction of J? Is it in the z direction as you have indicated, or is it in the φ direction? Second, A is a function of the position vector [itex]\vec{r}[/itex]. You haven't included [itex]\vec{r}[/itex] anywhere. Note you need two position vectors, [itex]\vec{r'}[/itex] which describes the current distribution, and which you have replaced by s, but you also need the second position vector [itex]\vec{r}[/itex] which describes where you are calculating A. Also, you need limits on your integration. Does s run from 0 up to some R? What about the limits on φ and z?
 

Similar threads

  • · Replies 2 ·
Replies
2
Views
2K
  • · Replies 2 ·
Replies
2
Views
2K
  • · Replies 28 ·
Replies
28
Views
3K
  • · Replies 2 ·
Replies
2
Views
2K
  • · Replies 5 ·
Replies
5
Views
2K
  • · Replies 6 ·
Replies
6
Views
2K
  • · Replies 1 ·
Replies
1
Views
1K
  • · Replies 2 ·
Replies
2
Views
2K
  • · Replies 21 ·
Replies
21
Views
3K
  • · Replies 10 ·
Replies
10
Views
2K