Can I Rescale These Bottle Design Functions for Half the Volume?

Click For Summary

Homework Help Overview

The discussion revolves around the rescaling of polynomial functions that describe the design of a bottle, specifically to achieve half the volume of the original design. The original poster presents three functions that represent the bottle's shape and seeks to understand how to modify these functions while maintaining their overall shape.

Discussion Character

  • Exploratory, Assumption checking, Problem interpretation

Approaches and Questions Raised

  • Participants discuss the method of rescaling the functions, questioning the need to convert the functions to vertex form and suggesting alternative approaches such as dividing by the square root of 2 to achieve the desired volume reduction.

Discussion Status

The conversation is ongoing, with various participants offering insights and alternative methods for rescaling the functions. Some participants express confusion about the original poster's approach, while others provide suggestions for maintaining the shape of the bottle during the rescaling process.

Contextual Notes

There is mention of a related thread that may provide additional context, and participants note the importance of keeping the shape consistent while achieving the volume reduction. The original poster indicates they are new to the topic, which may influence the discussion dynamics.

BigKevSebas
All variables and given/known data and Relevant equations:
So I got the functions for a bottle design (one side with the bottle lying horizontally):
1. y=-1/343x^3+3/98x^2 + 2.5 ; 0<x<7
2. y=3; 7<x<15
3. y=-1/98x^2+15/49x+69/98; 15<x<22
Combined they give the volume of 570.2mL using the volume revolution equation:
volume.gif

I need to rescale the functions above so that I get half the volume. I simply can't reduce the length of the functions by half, as the new curves have to be a similar shape to the original one. Therefore I need to reduce the radius and length at the same time.

The attempt at a solution
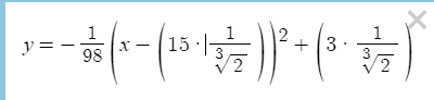
I know I have to multiply the function by 1/2^(1/3). To do this I had to convert function 3 to the vertex form, and I got
upload_2017-8-11_7-50-20.png
, as the new rescaled function 3.
Furthermore, I also got,
upload_2017-8-11_7-42-32.png
as the new function of 2.

The problem:
I'm stuck on rescaling function 1, as I can't convert it to a vertex form. I have tried the method from 'https://www.enotes.com/homework-help/how-convert-cubic-equation-standard-form-ax-2-bx-2-312067' but that has not worked. Any ideas how I would be able to rescale function 1.
 

Attachments

  • upload_2017-8-11_7-41-22.png
    upload_2017-8-11_7-41-22.png
    1.9 KB · Views: 484
Physics news on Phys.org
Why are you dividing by cube root of 2? If you keep the horizontal length constant, dividing radius by square root of 2 should have the desired result of cutting the cross sectional area in half (which will cut the volume in half).
 
I don't understand why you need to convert the function to another form.
If you have y = f(x) from x=15 to 22 and that has a certain volume by integrating πy2dx from x=15 to 22,
Why can't your new function just be y = f(x)/(√2) ? Since it is a polynomial, that is just dividing each term by (√2)
Same with the other pieces.
 
scottdave said:
I don't understand why you need to convert the function to another form.
If you have y = f(x) from x=15 to 22 and that has a certain volume by integrating πy2dx from x=15 to 22,
Why can't your new function just be y = f(x)/(√2) ? Since it is a polynomial, that is just dividing each term by (√2)
Same with the other pieces.

I think he wants to scale both x and y by the same factor, so that the "shape" remains the same.
 
  • Like
Likes   Reactions: BigKevSebas
Sorry, I am new. But yes I want to scale both x and y by the same factor so that the "shape" remains the same.The task requires the rescaling of the bottle to have a similar shape of the original.
 
BigKevSebas said:
I want to scale both x and y by the same factor so that the "shape" remains the same.The task requires the rescaling of the bottle to have a similar shape of the original.
That makes more sense now
 
  • Like
Likes   Reactions: BigKevSebas
BigKevSebas said:
Sorry, I am new. But yes I want to scale both x and y by the same factor so that the "shape" remains the same.The task requires the rescaling of the bottle to have a similar shape of the original.
What I showed in this post in your other thread:
https://www.physicsforums.com/threads/water-bottle-design-using-polynomials.921665/#post-5815215
was a method to do your problem. You could use it. Your original functions would all be in terms of ##h## and you could scale it just by changing ##h##.
 
  • Like
Likes   Reactions: scottdave
One way to achieve what @LCKurtz suggests, using your current formulas, is to make a g(x) which is equal to {f(x*2^(-1/3))}*2^(-1/3), then you need to change each limit of x range to {x_limit}*2^(-1/3), where x_limit is a lower limit or upper limit for each range.

Another thing, I thought your original problem was to achieve 600 cubic centimeters (mL), but you state that you got 570.2 mL. Shouldn't you scale up to 600 first, then you can scale to half volume?
 
  • #10
The water bottle can be 10% below or over 600mL
 
  • #11
You haven't shown us anything about your design or how you came up with the equations that you want to scale. So I am going to give you one more example of how you might approach your problem. You are probably familiar with a typical cubic, such as one that has roots at ##x=0,~1,~2## whose equation would be given by ##y =A(x)(x-1)(x-2)##. The graph has a couple of arches. The constant ##A## determines the sign and how tall the arches are. So for my example, I'm going to say you want a cubic like that, with zeroes equally spaced, the first zero at ##x=0##, the others positive and equally spaced, and each arch height ##h## at its midpoint (this isn't quite the max point). And you want it to be scalable so it looks the same regardless of its size. Now, to get the zeroes equally spaced to make it scalable let's put the zeroes at ##0, ~h,~ 2h##. So the equation would look like this so far: ##y=Ax(x-h)(x-2h)##. Now, if we want the first arch to be positive and be equal to the width of the arches, we need ##y = h## when ##x = \frac h 2##. So let's put that in the equation for ##y## given above to determine ##A##. This gives$$
h = A\frac h 2 (\frac h 2 - h)(\frac h 2 -2h) = A(\frac h 2)(-\frac h 2)(-\frac {3h} 2) = \frac 3 8 Ah^3$$
This gives ##A=\frac 8 {3h^2}## and our final scalable equation for ##y## is$$
y = \frac 8 {3h^2}(x)(x-h)(x-2h)$$Now you have everything scalable in terms of ##h##. Below is a graph showing what the cubics look like for ##h=1,~ h=2,~ h= 3##. Three different equations, three different sizes, but the same shape.
cubics.jpg

[Edit:] Apparently the general case is pretty easy. If you have an equation ##f(x,y) = 0## and you want to resize its graph by a factor of ##k##, just use ##f(\frac x k,\frac y k)=0##.
 
Last edited:

Similar threads

  • · Replies 1 ·
Replies
1
Views
2K
  • · Replies 12 ·
Replies
12
Views
5K
  • · Replies 3 ·
Replies
3
Views
3K
  • · Replies 7 ·
Replies
7
Views
4K
Replies
2
Views
2K
  • · Replies 5 ·
Replies
5
Views
5K
  • · Replies 4 ·
Replies
4
Views
2K
  • · Replies 1 ·
Replies
1
Views
1K
  • · Replies 3 ·
Replies
3
Views
2K
  • · Replies 1 ·
Replies
1
Views
2K