Can you identify these equations?

  • Context: Undergrad 
  • Thread starter Thread starter Luxor123
  • Start date Start date
Click For Summary

Discussion Overview

The discussion revolves around the identification of two equations that participants believe may be related to physics, particularly involving concepts like Planck's constant and the speed of light. The context of the equations and their specific applications or theoretical backgrounds are not fully established.

Discussion Character

  • Exploratory
  • Technical explanation
  • Debate/contested

Main Points Raised

  • One participant suggests that the equations are likely from physics due to the presence of Planck's constant and the speed of light.
  • Another participant identifies one of the equations as the Dirac equation of a charged particle in a vector potential and scalar potential, expressing hope for corrections or additional input from others.
  • A participant seeks clarification on whether both equations are involved and mentions a lack of understanding regarding the connection to gamma, referencing Wikipedia.
  • A later reply agrees with the identification of the top equation and proposes that the bottom equation may represent the definition of the time-reversal operator, noting the role of the complex conjugation operator.

Areas of Agreement / Disagreement

Participants express differing views on the equations' identities, with some agreeing on the identification of the Dirac equation while others propose alternative interpretations for the second equation. The discussion remains unresolved regarding the full context and implications of both equations.

Contextual Notes

Participants have not fully clarified the assumptions or definitions underlying their interpretations of the equations, and there are indications of varying levels of understanding among them.

Luxor123
Messages
2
Reaction score
0
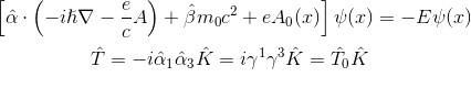
I have come across these equations elsewhere, but the context didn't give anything away about what they actually are. I assume they're both from a similar area, but that may not be necessarily true.

I guess they're physics equations because of the presence of Planck's constant and c (speed of light?)

XbqvTnL.jpg
 
Physics news on Phys.org
That's Dirac equation of a charged particle in a vector potential ##A## and scalar potential ##eA_0(x)##. I hope there are other members correcting me in case I am wrong or add something.
 
  • Like
Likes   Reactions: Luxor123
Thanks, is that just the top one, and is the bottom one involved as well? I had a look at Wikipedia and it seemed to involve gamma in some way, but it is well beyond my level of understanding.
 
Luxor123 said:
Thanks, is that just the top one, and is the bottom one involved as well? I had a look at Wikipedia and it seemed to involve gamma in some way, but it is well beyond my level of understanding.
About the top equation, I agree with blue_leaf77. The bottom one seems to be the definition of time-reversal operator to me where ## \hat K ## is the complex conjugation operator.
 

Similar threads

  • · Replies 3 ·
Replies
3
Views
1K
  • · Replies 69 ·
3
Replies
69
Views
5K
  • · Replies 12 ·
Replies
12
Views
2K
  • · Replies 68 ·
3
Replies
68
Views
5K
  • · Replies 10 ·
Replies
10
Views
2K
  • · Replies 26 ·
Replies
26
Views
2K
  • · Replies 36 ·
2
Replies
36
Views
5K
  • · Replies 9 ·
Replies
9
Views
2K
Replies
60
Views
5K
  • · Replies 9 ·
Replies
9
Views
2K