Canonical partition function for N ideal gasses

Click For Summary
SUMMARY

The canonical partition function for N ideal Na2 gas molecules is derived by treating the rotational contributions classically while addressing all inner degrees of freedom quantum mechanically. The correct expression incorporates both classical and quantum mechanical principles, leading to a precise calculation of the equilibrium constant for the specified reaction at 1000 K. This approach rectifies previous errors and provides a clear pathway to understanding the thermodynamic properties of the system.

PREREQUISITES
  • Understanding of canonical partition functions in statistical mechanics
  • Familiarity with classical and quantum mechanics principles
  • Knowledge of thermodynamic equilibrium constants
  • Basic proficiency in handling ideal gas laws and molecular interactions
NEXT STEPS
  • Study the derivation of canonical partition functions in statistical mechanics
  • Explore the implications of classical versus quantum treatment of molecular rotations
  • Investigate the calculation of equilibrium constants for various chemical reactions
  • Learn about the behavior of ideal gases under different thermodynamic conditions
USEFUL FOR

Students and researchers in physical chemistry, particularly those focusing on statistical mechanics, thermodynamics, and molecular physics.

Schwarzschild90
Messages
111
Reaction score
1

Homework Statement


Exercise 4 in the upload titled Dok1.pdf.

Write down an expression for the canonical partition function for N ideal Na2 gas molecules, when the rotational contribution is treated classically, and all inner degrees of freedom are treated quantum mechanically. Use this and earlier results to calculate an expression for the equilibrium constant for the reaction (1) and calculate its value at =1000.

Homework Equations

and 3. the attempt at a solution[/B]
A tutor came up with this nonsensical solution:
1.PNG

2.PNG

3.PNG

4.PNG
 

Attachments

Physics news on Phys.org
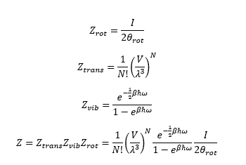
I've redone the exercise and come up with the following solution instead:

5.PNG
 

Similar threads

  • · Replies 1 ·
Replies
1
Views
2K
  • · Replies 1 ·
Replies
1
Views
3K
  • · Replies 2 ·
Replies
2
Views
2K
  • · Replies 3 ·
Replies
3
Views
3K
Replies
5
Views
3K
  • · Replies 4 ·
Replies
4
Views
5K
  • · Replies 1 ·
Replies
1
Views
3K
  • · Replies 1 ·
Replies
1
Views
3K
  • · Replies 1 ·
Replies
1
Views
7K
Replies
10
Views
6K