Common Multiple, what is the fourth term

  • Context: MHB 
  • Thread starter Thread starter Yazan975
  • Start date Start date
  • Tags Tags
    Multiple Term
Click For Summary
SUMMARY

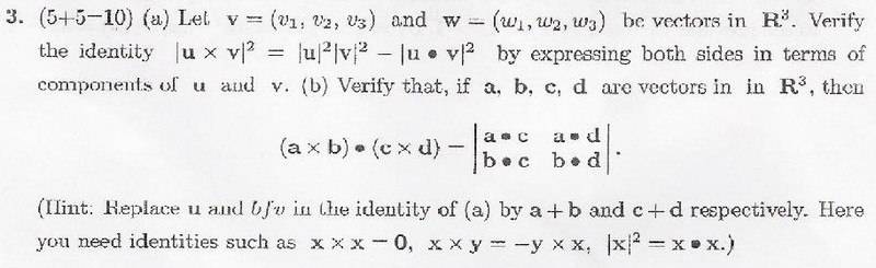
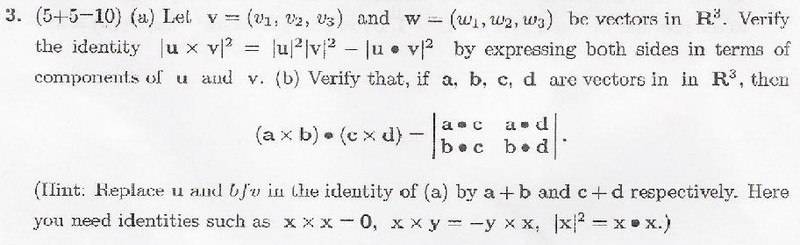
The discussion centers on finding the fourth term in a set of algebraic expressions to achieve a specific least common multiple (LCM). The given terms are 12a²bc, 8ab, and 4a²cd, with their LCM calculated as 24a²bcd. To reach the desired LCM of 24a³bc²d, an additional term must contribute one more 'a' and one more 'c'. The coefficient of this new term must be an odd prime number that divides 24, which is determined to be 3.

PREREQUISITES
  • Understanding of least common multiples (LCM)
  • Familiarity with algebraic expressions and coefficients
  • Knowledge of prime numbers and their properties
  • Basic skills in manipulating algebraic terms
NEXT STEPS
  • Research how to calculate the least common multiple of algebraic expressions
  • Study the properties of prime numbers and their role in factorization
  • Learn about algebraic manipulation techniques for combining terms
  • Explore examples of finding LCM in polynomial expressions
USEFUL FOR

Students studying algebra, mathematicians working with polynomial expressions, and educators teaching LCM concepts in mathematics.

Yazan975
Messages
30
Reaction score
0

Attachments

  • Chpt2.2-min.png
    Chpt2.2-min.png
    131.6 KB · Views: 118
Mathematics news on Phys.org
Can you show what you've tried or your thoughts on how to begin?
 
Three of the terms are [tex]12a^2bc[/tex], [tex]8ab[/tex], and [tex]4a^2cd[/tex]. To find the least common multiple of those 3, note that [tex]12= 2^2(3)[/tex], [tex]8= 2^3[/tex], and [tex]4= 2^2[/tex]. The least common multiple of those three is [tex]2^3(3)= 24[/tex]. The highest power of a is [tex]a^2[/tex] and the highest power of b, c, and d is 1 for all three. So the least common multiple of those three terms is [tex]24a^2bcd[/tex]. We want another term such that the least common multiple of all four terms is [tex]24a^3bc^2d[/tex]. We already have the "24", the "b" and "d", two of the three "a"s, and one of the two "c"s. It looks like we need just one more "a" and one more "c". Any coefficient must be already included in the "24". What is an odd prime number that divides 24?
 
Last edited:

Similar threads

  • · Replies 12 ·
Replies
12
Views
3K
  • · Replies 3 ·
Replies
3
Views
3K
  • · Replies 4 ·
Replies
4
Views
2K
  • · Replies 5 ·
Replies
5
Views
3K
  • · Replies 48 ·
2
Replies
48
Views
6K
Replies
4
Views
2K
  • · Replies 50 ·
2
Replies
50
Views
5K
  • · Replies 8 ·
Replies
8
Views
3K
  • · Replies 11 ·
Replies
11
Views
3K
  • · Replies 4 ·
Replies
4
Views
2K