Computing the surface integral of a parabloid

Click For Summary

Homework Help Overview

The discussion revolves around computing the surface integral of a paraboloid, specifically focusing on the limits of integration and the region of integration, denoted as ##R##. Participants are examining how ##R## is defined and represented in the context of the problem.

Discussion Character

  • Conceptual clarification, Assumption checking

Approaches and Questions Raised

  • The original poster expresses confusion regarding the determination of the limits of integration for ##R## and the graphical representation of ##R##. Another participant clarifies that ##R## is the projection of the paraboloid onto the XY plane and discusses the boundaries defined by specific lines and an arc of a circle. Questions arise about the values of ##\theta## corresponding to the straight lines in the boundary.

Discussion Status

The discussion is exploring the definitions and graphical interpretations of the region of integration. Some participants are providing clarifications, while others are questioning the assumptions made in the problem setup. There is no explicit consensus, but the dialogue indicates a productive exploration of the topic.

Contextual Notes

Participants are navigating the complexities of the problem, including the specific boundaries and the implications of the surface equation. There are indications of edits and reconsiderations, suggesting ongoing reflection on the problem's intricacies.

ainster31
Messages
158
Reaction score
1

Homework Statement



Ra02W.png


Homework Equations





The Attempt at a Solution



4pTcm.png


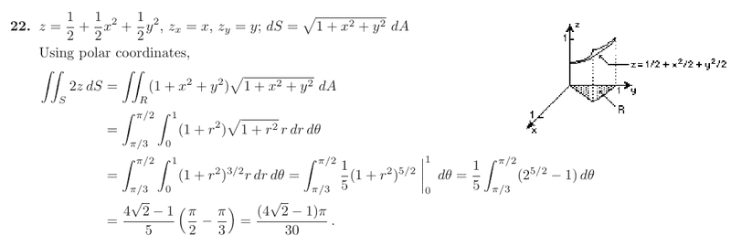
I am having difficulty understanding how the author determined the limits of integration of ##R##. The author used ##\theta=\pi/3\quad to\quad \theta=\pi/2## and ##r=1\quad to\quad r=1##. More accurately, I'm not even sure how the author graphed ##R## in the diagram. Where did he get the shape of ##R## from?
 
Physics news on Phys.org
R is the projection of the paraboloid onto the XY plane. The surface boundary is given in the question by the lines x=0, y = x√3, z=1. Since 2z = 1 + x2+y2 for the surface, that last translates into 1 = x2+y2 for R. So R's boundary consists of two straight lines and an arc of a circle.
If θ is measured from the +ve x-axis, what are its values at the two straight lines?
 
  • Like
Likes   Reactions: 1 person
haruspex said:
If θ is measured from the +ve x-axis, what are its values at the two straight lines?

Well Haruspex! I'm shocked, SHOCKED!
 
LCKurtz said:
Well Haruspex! I'm shocked, SHOCKED!
Only if you touch the -ve at the same time?
 
Edit: never mind.
 
Last edited:
Edit: never mind again.
 
OK, I think I got it, but that was ridiculously complicated.
 

Similar threads

  • · Replies 9 ·
Replies
9
Views
2K
  • · Replies 5 ·
Replies
5
Views
3K
  • · Replies 9 ·
Replies
9
Views
3K
  • · Replies 7 ·
Replies
7
Views
3K
  • · Replies 14 ·
Replies
14
Views
3K
Replies
32
Views
4K
  • · Replies 7 ·
Replies
7
Views
3K
  • · Replies 8 ·
Replies
8
Views
2K
Replies
11
Views
3K
  • · Replies 1 ·
Replies
1
Views
2K