Coulomb's law — A negative charge balanced between 3 positive charges

Click For Summary

Homework Help Overview

The discussion revolves around Coulomb's law in the context of three equal positive charges arranged in an equilateral triangle, with a negative charge placed at the center. Participants are exploring the forces acting on the negative charge and the reasoning behind the calculations related to these forces.

Discussion Character

  • Conceptual clarification, Mathematical reasoning, Assumption checking

Approaches and Questions Raised

  • Participants are questioning the inclusion of the factor of 3 in the force calculation between the charges, specifically why it appears when considering the force on the negative charge from the three positive charges. There are discussions about the distances involved and the relationships between the charges.

Discussion Status

The discussion is ongoing, with participants providing insights and corrections regarding the calculations and assumptions made. Some participants have pointed out potential misunderstandings about the distances between the charges and the significance of the factor of 3 in the force equation.

Contextual Notes

There are mentions of specific values for the charges and the need for consistency in significant figures. Some participants express confusion over the units and the representation of the charges in the equations, indicating a need for clarity in the problem setup.

yesmale4
Messages
41
Reaction score
1
Homework Statement
Three equal positive charges, q = 8.5 μC each, are arranged at the vertices of equilateral triangle (see figure below). A negative charge, Q, is placed at the center of the triangle such that all four charges are in equilibrium.
Relevant Equations
Ef=0
f=kq1q2/r^2
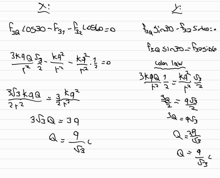
hello i would like to understand something, i found the right answer but there is still something i don't understand.
here is the figure
a.png


and here is my correct solution

aa.jpg

aaa.jpg


what i don't understand is why F(3,Q) is 3kQ/r^2
i mean why is the 3? i only calculat the force between q3 and Q so why the 3 before?
 
Last edited:
Physics news on Phys.org
You mean Coulomb's law. Not "colon law".
 
  • Like
  • Haha
Likes   Reactions: malawi_glenn, PhDeezNutz and topsquark
Steve4Physics said:
You mean Coulomb's law. Not "colon law".
fixed thank you
 
yesmale4 said:
Homework Statement:: Three equal positive charges, q = 8.5 μC each, are arranged at the vertices of equilateral triangle (see figure below). A negative charge, Q, is placed at the center of the triangle such that all four charges are in equilibrium.
Relevant Equations:: Ef=0
f=kq1q2/r^2

hello i would like to understand something, i found the right answer but there is still something i don't understand.
here is the figure
View attachment 316259

and here is my correct solution

View attachment 316260
View attachment 316261

what i don't understand is why F(3,Q) is 3kQ/r^2
i mean why is the 3? i only calculat the force between q3 and Q so why the 3 before?
What does r represent in your solution? The distance from where to where?
 
  • Like
Likes   Reactions: topsquark
yesmale4 said:
i found the right answer
What is the question :smile: ? (i can guess...)

I suppose
1666953133805.png
means ##\sqrt{3}\over 2## ?

You may want to learn some ##\LaTeX## (button at lower left of edit window). Or write and draw more unambiguously (the 60##^\circ## at the lower left looks more like 45##^\circ##, smack between 30##^\circ## and 60##^\circ##...)​

You seem to think that the sides of the triangle are ##r##. Fine, but then the distance ##qQ## is not ##r## !

##\ ##
 
  • Like
Likes   Reactions: topsquark
EDIT. Apologies @yesmale4. I misread your working. So this post is wrong and I've struck it through.

By the way @yesmale4, you have the incorrect unit in your answer. So your answer is wrong by a factor of one million!

Also, the value of q in the question is given to 2 significant figures. For consistency, your calculated value for Q should also have 2 significant figures.
 
Last edited:
Steve4Physics said:
Also, the value of q in the question is given to 2 significant figures. For consistency, your calculated value for Q should also have 2 significant figures.
I don't see a calculated value. All I see is ##Q=\dfrac{q}{\sqrt{3}}## C. The issue is that there should be no units of Coulombs in the expression since it is a relation between magnitudes of charges.
 
kuruman said:
I don't see a calculated value. All I see is ##Q=\dfrac{q}{\sqrt{3}}## C. The issue is that there should be no units of Coulombs in the expression since it is a relation between magnitudes of charges.
Whoops. In haste I misread ##\frac q {\sqrt 3}## as ##\frac 9 {\sqrt 3}## (though that would have been an incorrect answer in any case).
 
  • Like
Likes   Reactions: topsquark and kuruman
yesmale4 said:
Homework Statement:: Three equal positive charges, q = 8.5 μC each, are arranged at the vertices of equilateral triangle (see figure below). A negative charge, Q, is placed at the center of the triangle such that all four charges are in equilibrium.
Relevant Equations:: Ef=0
f=kq1q2/r^2

hello i would like to understand something, i found the right answer but there is still something i don't understand.
here is the figure
View attachment 316259

and here is my correct solution

[ ATTACH type="full" alt="aa.jpg"]316260[/ATTACH]
[ ATTACH type="full" alt="aaa.jpg"]316261[/ATTACH]

what I don't understand is why F(3,Q) is 3kQ/r^2
i mean why is the 3? i only calculated the force between q3 and Q so why the 3 before?
This seems rather strange. It's your solution, but you do not know where the 3 comes from.

Notice that the distance from q1 to q2 , etc. is not the same as the distance from each q to the central Q.

If you let R be the distance from each q to the charge Q in the center you should find that, ##\dfrac{r/2}{R} =\cos(30^\circ)## .
 
Last edited by a moderator:
  • #10
SammyS said:
It's your solution
Maybe not. Could be "found" as in "… in the back of the book".
SammyS said:
Notice that the distance from q1 to q2 , etc. is not the same as the distance from each q to the central Q.
… and this is where the 3 comes from. ##\frac 1{(\frac r{\sqrt 3})^2}=\frac 3{r^2}##
 
  • Like
Likes   Reactions: SammyS

Similar threads

Replies
17
Views
3K
Replies
21
Views
2K
Replies
1
Views
924
Replies
6
Views
9K
Replies
8
Views
1K
  • · Replies 12 ·
Replies
12
Views
1K
  • · Replies 11 ·
Replies
11
Views
2K
  • · Replies 22 ·
Replies
22
Views
4K
Replies
6
Views
2K
  • · Replies 26 ·
Replies
26
Views
3K