Current Through an Inductor at time t

Click For Summary

Discussion Overview

The discussion revolves around the calculation of current through an inductor over time, particularly focusing on discrepancies between theoretical predictions and simulation results. Participants explore the implications of time shifts in their calculations and the effects of simulation settings.

Discussion Character

  • Homework-related
  • Mathematical reasoning
  • Technical explanation

Main Points Raised

  • One participant presents equations for voltage and current through an inductor, suggesting that the current should follow the form I = 1mA (1 - e^(-t/10ns).
  • Another participant agrees that time needs to be adjusted in some manner to align the theoretical results with simulation data, proposing a subtraction of 1ns from the time variable.
  • A later reply suggests adjusting LTspice settings to start saving data after 1ns to better match the simulation with theoretical predictions.
  • One participant realizes a calculation error regarding the time constant (Tau), correcting it from 10ns to 15ns, indicating the potential for simple mistakes to lead to significant discrepancies in results.

Areas of Agreement / Disagreement

Participants express differing views on how to adjust the time variable and the implications of Tau on their calculations. The discussion remains unresolved regarding the exact cause of the discrepancies in the current readings.

Contextual Notes

Participants note the importance of precise timing in their calculations and the potential impact of simulation settings on the results. There are indications of unresolved mathematical steps and assumptions regarding the behavior of the inductor over time.

Who May Find This Useful

Readers interested in circuit analysis, inductor behavior, simulation techniques, and troubleshooting discrepancies in theoretical versus simulated results may find this discussion relevant.

Lapse
Messages
49
Reaction score
4

Homework Statement


upload_2018-11-3_21-9-58.png


Homework Equations


[/B]
V = 1/L di/dt

I = Io x (1 - e^(-t/L/R)

Tau = L/R

The Attempt at a Solution


[/B]
Ii = 0mA ; If = 1mA

Vi = 1V ; Vf = 0V

Tau = 15uH / 1k Ohms = 10ns

If my above is correct, then voltage and current equations through inductor should be as follows:

V = 15uH di/dt

I = 1mA (1-e^(-t/10ns)


The problem is when I test current I don't get the graphical answer.
For instance, I tested at 30ns:

I = 1mA (1-e^(-30ns/10ns)
I= .001A (1-e^-3)
i= .00095A or 950uA

...but on the graph the answer is just under 0.855uA

upload_2018-11-3_21-20-40.png


One hypothesis I had is that since the voltage doesn't pulse till 1ns, somehow t time or Tau is affected. But I have tried playing with the equation by adjusting t time and/or Tau by 1ns and still don't seem to be able to come to the right answer.
 

Attachments

  • upload_2018-11-3_21-9-58.png
    upload_2018-11-3_21-9-58.png
    19.6 KB · Views: 964
  • upload_2018-11-3_21-20-40.png
    upload_2018-11-3_21-20-40.png
    3.5 KB · Views: 529
Last edited:
Physics news on Phys.org
Lapse said:
One hypothesis I had is that since the voltage doesn't pulse till 1ns, somehow t time or Tau is affected. But I have tried playing with the equation by adjusting t time and/or Tau by 1ns and still don't seem to be able to come to the right answer.
That's certainly a good hypotheses. Clearly time needs to be shifted in some manner (not Tau, it is not affected by changing clocks). You should be able to subtract a nanosecond from time to get your equation to line up with the simulation, but there's another way, too. You can adjust LTspice to start saving data only after 1 ns. Go to the Simulate menu and choose Edit Simulation Command. Note the entry "Time to Start Saving Data". Try it out.
 
  • Like
Likes   Reactions: Lapse
gneill said:
That's certainly a good hypotheses. Clearly time needs to be shifted in some manner (not Tau, it is not affected by changing clocks). You should be able to subtract a nanosecond from time to get your equation to line up with the simulation, but there's another way, too. You can adjust LTspice to start saving data only after 1 ns. Go to the Simulate menu and choose Edit Simulation Command. Note the entry "Time to Start Saving Data". Try it out.

Thanks for that tip on LTspice. After applying that new simulation command:
I = 860mV - 865mV @ t = 30ns.

As you may notice, this answer is still different from what I am getting.

When I do the calculation at t = 30ns - 1ns = 29ns, my answer comes out to 945mV.

So I am still going wrong somewhere...
 
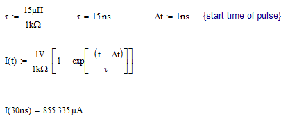
I think we'll need to see some more details of your calculations. Here's what I get using Mathcad:

upload_2018-11-4_14-52-50.png
 

Attachments

  • upload_2018-11-4_14-52-50.png
    upload_2018-11-4_14-52-50.png
    2.2 KB · Views: 448
  • Like
Likes   Reactions: Lapse
gneill said:
I think we'll need to see some more details of your calculations. Here's what I get using Mathcad:

Oh... my... goodness. I said Tau = 15uH / 1k = 10ns ? It is 15ns!

Another lesson in simple mistakes can lead to greater consequences.

Thanks for your help gneill.
 
Happy to help!
 
  • Like
Likes   Reactions: Lapse

Similar threads

  • · Replies 4 ·
Replies
4
Views
2K
  • · Replies 10 ·
Replies
10
Views
3K
  • · Replies 3 ·
Replies
3
Views
3K
  • · Replies 3 ·
Replies
3
Views
4K
  • · Replies 10 ·
Replies
10
Views
2K
  • · Replies 6 ·
Replies
6
Views
3K
  • · Replies 10 ·
Replies
10
Views
1K
  • · Replies 13 ·
Replies
13
Views
5K
  • · Replies 1 ·
Replies
1
Views
12K
  • · Replies 6 ·
Replies
6
Views
8K