Derivative in spherical coordinates

Click For Summary
SUMMARY

The discussion focuses on calculating derivatives in spherical coordinates, specifically using the chain rule and partial derivatives. Participants struggle with deriving the first and second derivatives, df/dt and d²f/dt², while applying the concepts of spherical coordinates. The conversation emphasizes the importance of correctly applying the chain rule in this context. Several users share their attempts and seek clarification on the methodology involved in these calculations.

PREREQUISITES
  • Understanding of spherical coordinates and their applications
  • Familiarity with the chain rule in calculus
  • Knowledge of partial derivatives and their computation
  • Basic proficiency in mathematical notation and problem-solving
NEXT STEPS
  • Study the application of the chain rule in spherical coordinates
  • Practice calculating partial derivatives in various coordinate systems
  • Explore advanced topics in multivariable calculus
  • Review examples of derivatives in physics involving spherical coordinates
USEFUL FOR

Students in calculus, particularly those studying multivariable calculus, as well as educators and tutors seeking to clarify concepts related to derivatives in spherical coordinates.

williamcarter
Messages
153
Reaction score
4

Homework Statement


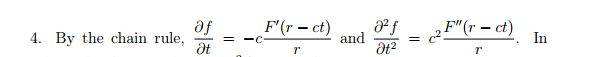
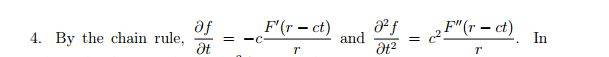
dmund.JPG
-here is the problem statement

dmund2.JPG
-here is a bit of their answer

Homework Equations


Chain rule, partial derivative in spherical coord.

The Attempt at a Solution


I tried dragging out the constant and partial derivate with respect to t but still I can't reach their df/dt and d^2f/dt^2 partial derivatives.
Any help would be much appreciated.
Thank you !
 
Physics news on Phys.org
williamcarter said:

Homework Statement


View attachment 109867 -here is the problem statement

View attachment 109868 -here is a bit of their answer

Homework Equations


Chain rule, partial derivative in spherical coord.

The Attempt at a Solution


I tried dragging out the constant and partial derivate with respect to t but still I can't reach their df/dt and d^2f/dt^2 partial derivatives.
Any help would be much appreciated.
Thank you !
Please post your attempts anyway.
 

Similar threads

Replies
2
Views
2K
  • · Replies 1 ·
Replies
1
Views
2K
  • · Replies 14 ·
Replies
14
Views
3K
  • · Replies 15 ·
Replies
15
Views
2K
  • · Replies 28 ·
Replies
28
Views
3K
  • · Replies 3 ·
Replies
3
Views
3K
  • · Replies 3 ·
Replies
3
Views
2K
  • · Replies 4 ·
Replies
4
Views
2K
  • · Replies 12 ·
Replies
12
Views
3K
  • · Replies 9 ·
Replies
9
Views
4K