Determine m and c if the shaded region has area 4.5 units^2

  • Thread starter Thread starter gex
  • Start date Start date
  • Tags Tags
    Area
Click For Summary

Homework Help Overview

The problem involves determining the values of m and c such that the area of a shaded region is 4.5 square units. The context includes the intersection of a linear equation and a quadratic function, and the use of definite integrals to find the area between the curves.

Discussion Character

  • Exploratory, Mathematical reasoning, Problem interpretation

Approaches and Questions Raised

  • Participants discuss finding intersection points between the linear and quadratic equations and setting up definite integrals to calculate the area. There are attempts to manipulate algebraic expressions to isolate m, with some participants expressing difficulty in the algebra involved.

Discussion Status

Several participants have provided guidance on calculating intersection points and setting up integrals. There is an ongoing exploration of algebraic manipulation, with some participants noting challenges in solving for m and discussing the nature of the resulting polynomial equation.

Contextual Notes

Participants mention that the algebra is complex and that there may be extraneous roots in the polynomial equation derived from the area calculation. There is also a reference to the difficulty of achieving integer roots in the context of the problem.

gex
Messages
36
Reaction score
2

Homework Statement


Capture.JPG

The Attempt at a Solution


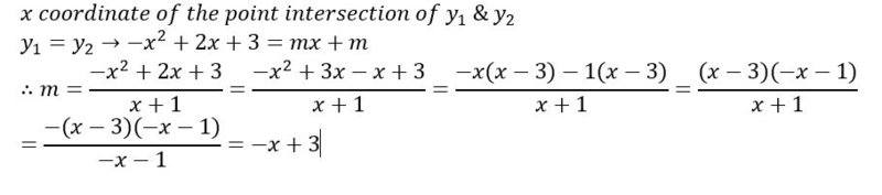
Capture 2.JPG


The above is my attempt after playing around with the question for about an hour. I don't seem to know how to eliminate either Δy or b in order to solve for m. Any help is much appreciated. Thanks in advance.
 

Attachments

  • Capture.JPG
    Capture.JPG
    22 KB · Views: 470
  • Capture.JPG
    Capture.JPG
    22 KB · Views: 832
  • Capture 2.JPG
    Capture 2.JPG
    30.1 KB · Views: 899
Physics news on Phys.org
It would help to calculate the point, (x coordinate) where the line ## y=mx+m ## intersects ## y=-x^2+2x+3 ##. Then the integral for the area would be the difference of two definite integrals. One place is (-1,0), but you need to find the other location (in terms of ## m ##).
 
  • Like
Likes   Reactions: gex
You have ##y=mx+m## for the straight. Why don't you calculate the right intersection point and work with definite integrals?
 
  • Like
Likes   Reactions: gex and Charles Link
Thank you for your responses fresh_42 and Charles. I did what you suggested and came up with this.
Capture 3.JPG

I'm unsure as to how to use this information to make my integrals definite.
 

Attachments

  • Capture 3.JPG
    Capture 3.JPG
    14.2 KB · Views: 849
gex said:
Thank you for your responses fresh_42 and Charles. I did what you suggested and came up with this.View attachment 231992
I'm unsure as to how to use this information to make my integrals definite.
So ## x=-m+3 ##. You integrate from ## x=-1 ## to ## x=-m+3 ##. That should be obvious.
 
  • Like
Likes   Reactions: gex
Additional comment: Once you use the limits on the definite integral, the rest is really an exercise in algebra. The result is a 3rd order equation in ## m ## that has one simple root, and two other (complex) roots that are extraneous.
 
Last edited:
  • Like
Likes   Reactions: gex
Charles Link said:
the rest is really an exercise in algebra
That is what I'm finding very difficult right now. I've been trying to solve for m myself but can't seem to do it. I used an online calculator and the provided root isn't an integer which leads me to believe I've gone wrong somewhere else in my algebra.
 
gex said:
That is what I'm finding very difficult right now. I've been trying to solve for m myself but can't seem to do it. I used an online calculator and the provided root isn't an integer which leads me to believe I've gone wrong somewhere else in my algebra.
The algebra is not the easiest. Here's what I got after multiplying both sides by ## -6 ## (originally it was ## -\frac{m^3}{6 }+... ##) : ## \\ ## ## m^3-12m^2+48m-37=0 ##. ## \\ ## See if you can work to that result. ## \\ ## This equation readily factors with one simple root. My guess is that you got something slightly different.
 
  • Like
Likes   Reactions: gex
Charles Link said:
Here's what I got after multiplying both sides by −6

Your equation is much cleaner than what I got and yields a root of m=1. Thank you so much for your help Charles, I will keep playing with the algebra in mine until it resembles your equation.
 
  • Like
Likes   Reactions: Charles Link
  • #10
gex said:
That is what I'm finding very difficult right now.
Charles Link said:
##m^3-12m^2+48m-37=0##.
Quite honest? I took me two attempts, too.
 
  • Like
Likes   Reactions: gex and Charles Link

Similar threads

  • · Replies 7 ·
Replies
7
Views
4K
  • · Replies 3 ·
Replies
3
Views
3K
Replies
7
Views
4K
  • · Replies 17 ·
Replies
17
Views
2K
  • · Replies 7 ·
Replies
7
Views
2K
  • · Replies 2 ·
Replies
2
Views
2K
  • · Replies 9 ·
Replies
9
Views
2K
Replies
11
Views
2K
  • · Replies 5 ·
Replies
5
Views
3K
  • · Replies 4 ·
Replies
4
Views
2K