Differential Equation - Finding the Particluar Integral

Click For Summary
SUMMARY

The discussion focuses on finding the particular integral of a differential equation after determining the complementary function. The participant expresses confusion regarding the process, suggesting that the textbook implies a guessing method. Another contributor advises considering the cases of t>0 and t<0 separately due to the absolute value in the forcing function, indicating a structured approach to solving the problem rather than relying on guesswork.

PREREQUISITES
  • Understanding of differential equations and their components
  • Familiarity with complementary functions in differential equations
  • Knowledge of forcing functions and their implications
  • Basic skills in analyzing piecewise functions
NEXT STEPS
  • Study methods for finding particular integrals in differential equations
  • Learn about piecewise functions and their applications in differential equations
  • Explore the concept of forcing functions and their role in differential equations
  • Review examples of differential equations with absolute values in forcing functions
USEFUL FOR

Students and educators in mathematics, particularly those studying differential equations, as well as anyone seeking to deepen their understanding of solving for particular integrals in complex scenarios.

TPMWITAM
Messages
1
Reaction score
0
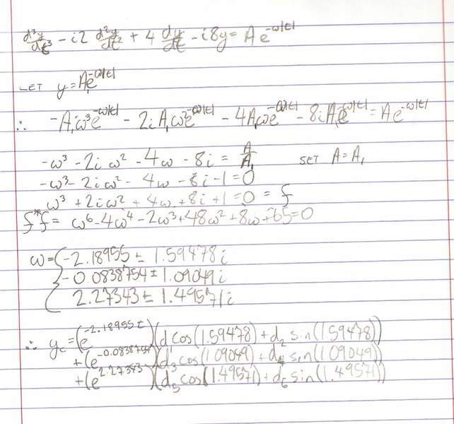
I'm working on this problem and have found the complimentary function, but I'm not quite sure I understand how to get the particular integral from the complimentary function. The textbook I have makes it seem as though it is pretty much guess work, but I was wondering if there is any sort of method that is better than just guessing. My work is scanned and attached as an image ;)

Thanks!
 

Attachments

  • scan0003.jpg
    scan0003.jpg
    40.6 KB · Views: 507
Physics news on Phys.org
I think you need to consider the t>0 and t<0 cases separately because of the absolute value in the forcing function.
 

Similar threads

Replies
9
Views
3K
  • · Replies 1 ·
Replies
1
Views
1K
  • · Replies 7 ·
Replies
7
Views
2K
  • · Replies 4 ·
Replies
4
Views
2K
  • · Replies 4 ·
Replies
4
Views
2K
  • · Replies 24 ·
Replies
24
Views
4K
Replies
7
Views
2K
  • · Replies 8 ·
Replies
8
Views
2K
Replies
7
Views
2K
  • · Replies 7 ·
Replies
7
Views
2K