Differential equation integrating factor conceptual question.

Click For Summary
SUMMARY

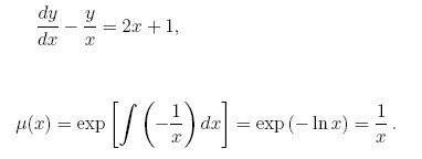
The discussion centers on the concept of integrating factors in differential equations, specifically addressing the omission of absolute values in integration. The integrating factor is defined as either 1/x or -1/x, depending on the restriction of x to positive or negative values. Both choices yield equivalent solutions when applied to the differential equation, demonstrating that the absolute value is unnecessary in this context. The continuity of 1/x at x=0 is highlighted as a critical factor in determining the appropriate integrating factor.

PREREQUISITES
  • Understanding of differential equations
  • Familiarity with integrating factors
  • Knowledge of continuity and discontinuity in functions
  • Basic calculus concepts, including integration
NEXT STEPS
  • Study the properties of integrating factors in differential equations
  • Learn about continuity and discontinuity in mathematical functions
  • Explore examples of differential equations with different integrating factors
  • Review the implications of restricting variable domains in calculus
USEFUL FOR

Students and educators in mathematics, particularly those studying differential equations, as well as anyone seeking to deepen their understanding of integrating factors and their applications.

td21
Gold Member
Messages
177
Reaction score
8

Homework Statement


Sorry asking similar quesion again about absolute value. You can read the attachment.
u(x) is the integrating factor. Why absolute value is omitted in the integration? and why the integrating factor is not "1/|x|", with the absolute sign

Homework Equations





The Attempt at a Solution


i thought we must use the abs sign and the solution is wrong?
 

Attachments

  • 2011-02-20_145211.jpg
    2011-02-20_145211.jpg
    4.7 KB · Views: 499
Physics news on Phys.org
The answer is exactly the same as to the question you asked in
https://www.physicsforums.com/showthread.php?t=474430

Since 1/x is not continuous at x= 0, it cannot be "continued" across x= 0. We must choose to restrict x to be positive or negative. If we choose to restrict x to be positive, we have 1/x. If we choose to restrict x to be negative, we have -1/x.

Since you use the integrating factor by multiplying the entire equation by it, you will get the same solution either way:

Taking the integrating factor to be 1/x, we get
[tex]\frac{1}{x}\frac{dy}{dx}- \frac{y}{x^2}= \frac{d}{dx}\left(\frac{1}{x}y\right)= 2+ \frac{1}{x}[/tex]

Taking the integrating factor to be -1/x, we have
[tex]\frac{-1}{x}\frac{dy}{dx}+ \frac{y}{x^2}= -\frac{d}{dx}\left(\frac{1}{x}y\right)= -2- \frac{1}{x}[/tex]
But multiplying both sides of that equation by -1 gives the same as the first equation.
 

Similar threads

Replies
9
Views
3K
Replies
7
Views
2K
  • · Replies 1 ·
Replies
1
Views
1K
  • · Replies 1 ·
Replies
1
Views
1K
  • · Replies 6 ·
Replies
6
Views
2K
  • · Replies 5 ·
Replies
5
Views
3K
Replies
3
Views
2K
  • · Replies 2 ·
Replies
2
Views
1K
  • · Replies 3 ·
Replies
3
Views
1K
  • · Replies 7 ·
Replies
7
Views
2K