Differential equations of forced oscillation and resonance

Click For Summary

Discussion Overview

The discussion revolves around the derivation of parameters in the context of forced oscillations and resonance, specifically focusing on the mathematical treatment of differential equations involving trigonometric functions and phase angles. Participants are seeking assistance with calculations and clarifications on the manipulation of these equations.

Discussion Character

  • Technical explanation
  • Mathematical reasoning
  • Homework-related

Main Points Raised

  • One participant expresses difficulty in deriving a specific parameter (A) and seeks help with eliminating terms involving δ and trigonometric functions.
  • Another participant suggests keeping the term (ωt-δ) intact while calculating derivatives, indicating that expansion of sine and cosine should occur later in the process.
  • There is a query about the origin of a term (ω) in the calculations, which prompts a clarification from others regarding the treatment of the phase angle δ as a constant.
  • Participants discuss the need to expand cosine and sine terms and equate them to the right-hand side of the equation, with emphasis on the constant nature of δ during differentiation.
  • One participant mentions confusion regarding the relationship between the left-hand side and the right-hand side of the equation, particularly concerning the presence of cos(ω_e*t).
  • References to external notes are made to illustrate methods for handling the equations, with some participants expressing gratitude for the guidance received.
  • There are discussions about the determination of sin δ and cos δ using a phase angle triangle, with one participant indicating they have already drawn the triangle for their calculations.

Areas of Agreement / Disagreement

Participants generally agree on the approach to keep the phase angle δ constant during differentiation and the need to expand trigonometric functions later in the calculations. However, there are differing interpretations regarding specific steps and results, particularly concerning the handling of terms and the final expressions derived.

Contextual Notes

Some participants express uncertainty about the calculations and the relationships between terms, indicating that there may be missing assumptions or steps in the derivation process. The discussion reflects a collaborative effort to clarify and refine mathematical approaches without reaching a definitive conclusion.

MissP.25_5
Messages
329
Reaction score
0
How do I derive A? As you can see in the attachment, I tried to substitute x and expand the equation but I got stuck. How do I get rid of the δ and cos and sin to get the result in the end? Please help!
 

Attachments

  • IMG_4422.jpg
    IMG_4422.jpg
    40.6 KB · Views: 506
  • IMG_4424.jpg
    IMG_4424.jpg
    37.7 KB · Views: 496
Physics news on Phys.org
I would leave (omega*t-delta) alone while calculating the various derivatives. The sines and cosines with this argument do not need expanding until you have done you calculations.
 
SteamKing said:
I would leave (omega*t-delta) alone while calculating the various derivatives. The sines and cosines with this argument do not need expanding until you have done you calculations.

OK, what do I do next? I don't expand it, and here's what I got.
 

Attachments

  • IMG_4430.jpg
    IMG_4430.jpg
    19.6 KB · Views: 481
Where did the plain 'ω' come from in the last line of your calculations?

Specifically, the term (ωe^2 - ω^2)?
 
Disregard last post. I see now.
 
MissP.25_5 said:
OK, what do I do next? I don't expand it, and here's what I got.

Now you expand the cosine and sine terms and equate same to the RHS of the equation.
In your first attempt, you differentiated δ w.r.t. time. This was incorrect. The phase angle δ is constant w.r.t. time, which was one reason your original derivation got so unwieldy.
 
SteamKing said:
Now you expand the cosine and sine terms and equate same to the RHS of the equation.
In your first attempt, you differentiated δ w.r.t. time. This was incorrect. The phase angle δ is constant w.r.t. time, which was one reason your original derivation got so unwieldy.

So, you're saying that I don't have to bother the one with the delta? That would mean doing partial differentiation, right?
 
There is no partial differential involved. If you take the derivative of cos(ωt-δ), you will get -ω*sin(ωt-δ). The δ represents a constant phase angle; it is not a function of t.

Now that you have your LHS in terms of sin and cos, now is the time to expand, for instance, cos(ωt-δ) using the angle difference formulas. You then solve for the coefficients of the sine and cosine terms on the LHS which correspond to whatever sine and cosine terms you have on the RHS.
 
SteamKing said:
There is no partial differential involved. If you take the derivative of cos(ωt-δ), you will get -ω*sin(ωt-δ). The δ represents a constant phase angle; it is not a function of t.

Now that you have your LHS in terms of sin and cos, now is the time to expand, for instance, cos(ωt-δ) using the angle difference formulas. You then solve for the coefficients of the sine and cosine terms on the LHS which correspond to whatever sine and cosine terms you have on the RHS.

So you mean, equate LHS and RHS and then substitute them back into the equation? But the right hand side only has F/cos(ω_e*t).
 
  • #10
Look at these notes:

http://web.pdx.edu/~larosaa/Ph-223/Lecture-Notes-Ph-213/PH-213_Chapter-15_FORCED_OSCILLATIONS_and-RESONANCE_%28complete-version%29.pdf

By the time you get to p. 6, you should see the method illustrated.
 
  • #11
SteamKing said:
There is no partial differential involved. If you take the derivative of cos(ωt-δ), you will get -ω*sin(ωt-δ). The δ represents a constant phase angle; it is not a function of t.

Now that you have your LHS in terms of sin and cos, now is the time to expand, for instance, cos(ωt-δ) using the angle difference formulas. You then solve for the coefficients of the sine and cosine terms on the LHS which correspond to whatever sine and cosine terms you have on the RHS.

Ok, now what should I do? The right hand side only has cos(w_e*t). And even so, if I did equate the sin and cosine, what should I do with it? I would still have cos(w_e*t) on the right side, don't I?
 

Attachments

  • IMG_4486.jpg
    IMG_4486.jpg
    24.1 KB · Views: 466
  • #12
If you read the attached notes from post#10, you would see how to handle this.
 
  • #13
SteamKing said:
If you read the attached notes from post#10, you would see how to handle this.

Thanks for the post. That really hepls a ton. But my answer is a little different. How come my denominator and numerator are inverted?
 

Attachments

  • IMG_4488.jpg
    IMG_4488.jpg
    33.4 KB · Views: 482
Last edited:
  • #14
It's hard to tell from your posted calculations. After expanding the cosine and sine terms which contain the phase angle δ, on the LHS there will be sin δ and cos δ terms mixed in with the cos(ωet) and sin (ωet) terms. You use the phase angle triangle to determine sin δ and cos δ in terms of the other known quantities before solving for A.
 
  • Like
Likes   Reactions: 1 person
  • #15
SteamKing said:
It's hard to tell from your posted calculations. After expanding the cosine and sine terms which contain the phase angle δ, on the LHS there will be sin δ and cos δ terms mixed in with the cos(ωet) and sin (ωet) terms. You use the phase angle triangle to determine sin δ and cos δ in terms of the other known quantities before solving for A.

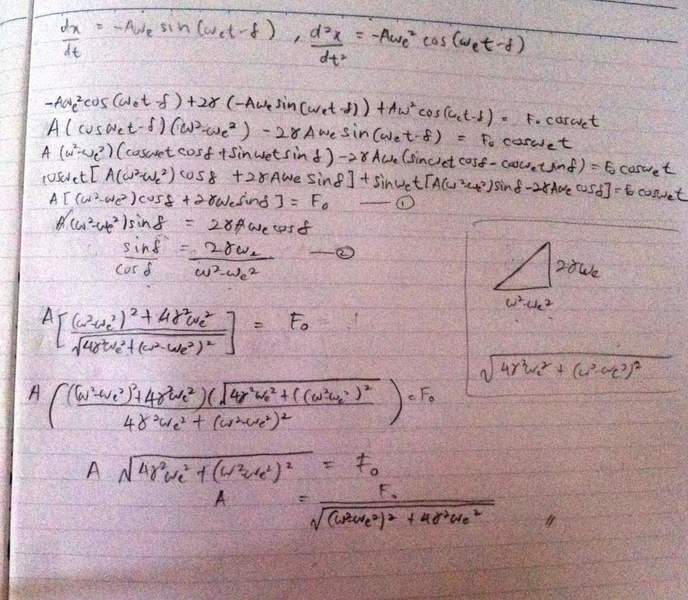
But in my calculation, I already determined the sin δ and cos δ, see I drew the triangle?
 
  • #16
SteamKing said:
It's hard to tell from your posted calculations. After expanding the cosine and sine terms which contain the phase angle δ, on the LHS there will be sin δ and cos δ terms mixed in with the cos(ωet) and sin (ωet) terms. You use the phase angle triangle to determine sin δ and cos δ in terms of the other known quantities before solving for A.

Hey, I got it!Look! Thank you soooo much!
 

Attachments

  • IMG_4489.jpg
    IMG_4489.jpg
    61.2 KB · Views: 507
Last edited:

Similar threads

  • · Replies 7 ·
Replies
7
Views
2K
  • · Replies 10 ·
Replies
10
Views
2K
  • · Replies 28 ·
Replies
28
Views
4K
  • · Replies 16 ·
Replies
16
Views
2K
  • · Replies 11 ·
Replies
11
Views
3K
  • · Replies 3 ·
Replies
3
Views
2K
Replies
17
Views
3K
  • · Replies 3 ·
Replies
3
Views
3K
  • · Replies 1 ·
Replies
1
Views
3K
  • · Replies 8 ·
Replies
8
Views
2K