Differentiate x^2-(3x+1)/(x+2)

  • Thread starter Thread starter ttpp1124
  • Start date Start date
  • Tags Tags
    Differentiate
Click For Summary

Homework Help Overview

The discussion revolves around the differentiation of the expression x^2 - (3x + 1)/(x + 2). Participants are addressing the clarity of the mathematical notation and the proper use of parentheses in the expression.

Discussion Character

  • Conceptual clarification, Assumption checking

Approaches and Questions Raised

  • Participants are questioning the clarity of the original expression and suggesting improvements in notation to avoid misinterpretation. There is a focus on the importance of using parentheses to clarify the structure of the expression.

Discussion Status

There is an ongoing discussion about the correct way to write the expression for differentiation. Some participants have provided guidance on using LaTeX for better readability and have emphasized the need for clear notation, but no consensus has been reached on the differentiation itself.

Contextual Notes

Participants note the importance of clarity in mathematical expressions and the potential for misinterpretation if parentheses are not used appropriately. There is also a mention of a LaTeX tutorial available for users to improve their mathematical formatting.

ttpp1124
Messages
110
Reaction score
4
Homework Statement
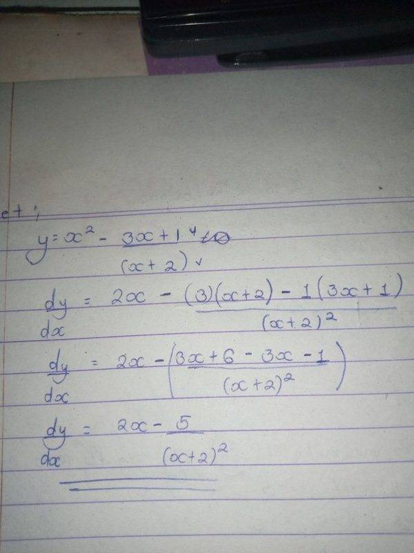
To be differentiated: x^2-3x+1/x+2
Relevant Equations
n/a
image4.jpeg

Is this correct?
 
Last edited by a moderator:
Physics news on Phys.org
Yes
 
  • Like
Likes   Reactions: berkeman
Looks okay to me. Your handwriting of the math is a little hard for me to read, but it seems correct.

BTW, there is a good LaTeX tutorial at the top of the page under INFO/Help (and in the lower left of the edit window below). We encourage all users to use LaTeX when posting math at the PF, since it is so much easier for folks to read and respond to. For example, I think this is your problem and your final solution (you can use the Reply button to see how LaTeX was used to generate the equations):

[tex]y(x) = x^2 - \frac{3x+1}{x+2}[/tex]
[tex]\frac{dy(x)}{dx} = 2x - \frac{5}{(x+2)^2}[/tex]
 
  • Like
Likes   Reactions: benorin
To be differentiated: x^2-3x+1/x+2
Don't write it this way. What you wrote would be interpreted to mean this:
##x^2 - 3x + \frac 1 x + 2##, which I'm sure isn't what you meant.
If you write a fraction using inline text, but sure to add parentheses whenever the numerator and/or denominator have multiple terms. You example should be written like this: x^2 - (3x + 1)/(x + 2).

Better yet, like this using TeX: ##x^2 - \frac{3x + 1}{x + 2}##
 
  • Like
Likes   Reactions: FactChecker
Use parentheses whenever it would help to clarify how much is in the numerator and how much is in the denominator. Parentheses are free.
 

Similar threads

Replies
5
Views
2K
  • · Replies 25 ·
Replies
25
Views
2K
Replies
49
Views
5K
  • · Replies 12 ·
Replies
12
Views
2K
Replies
9
Views
3K
  • · Replies 44 ·
2
Replies
44
Views
6K
Replies
26
Views
3K
  • · Replies 7 ·
Replies
7
Views
2K
  • · Replies 5 ·
Replies
5
Views
2K
  • · Replies 10 ·
Replies
10
Views
2K