Difficult Improper Integrals in Real Analysis.

Click For Summary

Discussion Overview

The discussion revolves around the challenges of solving improper integrals in real analysis. Participants share their approaches to specific integrals, explore convergence criteria, and discuss various mathematical techniques, including Laplace transforms and complex analysis.

Discussion Character

  • Exploratory
  • Technical explanation
  • Mathematical reasoning
  • Debate/contested

Main Points Raised

  • One participant presents a primitive function for an integral involving $\ln^{\alpha} x$ and discusses its divergence for different values of $\alpha$.
  • Another participant suggests considering $\alpha > -1$ to solve the first integral using Laplace transforms.
  • Multiple participants reference a specific integral involving $e^{-x} \sin x x^a$ and express difficulty in deriving results from it.
  • There is a suggestion that the focus may be on analyzing convergence rather than finding explicit values for the integrals.
  • One participant proposes a generalized result for integrals of the form $\int_{0}^{\infty} e^{-ax} \sin(bx) x^{s-1} dx$ and discusses conditions for convergence.
  • Another participant expresses uncertainty about the difficulty of the problems and seeks clarification on convergence criteria.

Areas of Agreement / Disagreement

Participants express differing views on the focus of the discussion, with some emphasizing the need for convergence analysis while others are interested in explicit results. There is no consensus on the best approach to the problems presented.

Contextual Notes

Participants mention various mathematical techniques and formulas, but there are unresolved assumptions regarding the convergence of the integrals and the applicability of certain methods. The discussion includes references to specific conditions for $\alpha$ and $s$ that may affect the outcomes.

bw0young0math
Messages
27
Reaction score
0
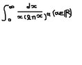
Hello. I'm studying improper integrals in real analysis. However, two problems are very difficult to me. If you are OK, please help me.(heart)

1.2.
View attachment 1549

I have solutions about above problems.
However, I don't know how I approach and find the way for solving them.
 

Attachments

  • 55.jpg
    55.jpg
    3.9 KB · Views: 169
  • 66.JPG
    66.JPG
    11.2 KB · Views: 154
Physics news on Phys.org
Re: Help me~♡ Difficult improper integrals in real analysis.

bw0young0math said:
Hello. I'm studying improper integrals in real analysis. However, two problems are very difficult to me. If you are OK, please help me.(heart)

Let's consider the second integral. A primitive of the function is...

$\displaystyle \int \frac{d x}{x\ \ln^{\alpha} x} = \frac{ \ln^{1 - \alpha} x} {1 - \alpha} + c\ (1)$

... but the fact that the integral is from 0 to infinity introduces several difficulties. In particular for $\alpha> 1$ the (1) has a singularity in x= 1 and that means that the integral diverges and for $\alpha< 1$ the (1) tends to infinity if x tends to infinity and also in this case the integral diverges...

Kind regards

$\chi$ $\sigma$
 
Re: Help me~♡ Difficult improper integrals in real analysis.

We have to consider $$\alpha>-1 $$ to solve the first integral by Laplace transform .
 
Re: Help me~♡ Difficult improper integrals in real analysis.

bw0young0math said:
Hello. I'm studying improper integrals in real analysis. However, two problems are very difficult to me. If you are OK, please help me.(heart)

Regarding to the first integral 'Monster Wolfram' supplies...

int e^(- x) sin x x^a from 0 to infinity - Wolfram|Alpha

How to obtain that result however is a difficult task...

Kind regards

$\chi$ $\sigma$
 
Re: Help me~♡ Difficult improper integrals in real analysis.

ZaidAlyafey said:
We have to consider $$\alpha>-1 $$ to solve the first integral by Laplace transform .

May be that the following 'forgotten formula' ...

http://mathhelpboards.com/analysis-50/laplace-transform-7057.html#post32097

$\displaystyle \mathcal {L} \{f_{1}(t)\ f_{2}(t)\} = \frac{1}{2\ \pi\ i}\ \int_{\gamma - i\ \infty}^{\gamma + i\ \infty} F_{1} (z)\ F_{2}(s - z)\ dz\ (1)$

... is useful in this case. Here is $\displaystyle f_{1} (t) = t^{\alpha} \implies F_{1} (s) = \frac{\Gamma (1 + \alpha)}{s^{1 + \alpha}}$ and $\displaystyle f_{2} (t) = \sin t \implies F_{2}(s)= \frac{1}{1 + s^{2}}$. In any case that is not a trivial task...

Kind regards

$\chi$ $\sigma$
 
Re: Help me~♡ Difficult improper integrals in real analysis.

chisigma said:
Regarding to the first integral 'Monster Wolfram' supplies...

int e^(- x) sin x x^a from 0 to infinity - Wolfram|Alpha

How to obtain that result however is a difficult task...

Kind regards

$\chi$ $\sigma$

I did not see the answer but I think it should be

$$\Im \left (\frac{\Gamma (\alpha +1)}{(1-i)^{\alpha +1}}\right)$$
 
Last edited:
Re: Help me~♡ Difficult improper integrals in real analysis.

We may be considering finding the explicit values for the improper integrals, but is that really the question? Bw0young0math, are you interested in results for the integrals or just in the analysis of their convergence? :)
 
Re: Help me~♡ Difficult improper integrals in real analysis.

chisigma said:
May be that the following 'forgotten formula' ...

http://mathhelpboards.com/analysis-50/laplace-transform-7057.html#post32097

$\displaystyle \mathcal {L} \{f_{1}(t)\ f_{2}(t)\} = \frac{1}{2\ \pi\ i}\ \int_{\gamma - i\ \infty}^{\gamma + i\ \infty} F_{1} (z)\ F_{2}(s - z)\ dz\ (1)$

... is useful in this case. Here is $\displaystyle f_{1} (t) = t^{\alpha} \implies F_{1} (s) = \frac{\Gamma (1 + \alpha)}{s^{1 + \alpha}}$ and $\displaystyle f_{2} (t) = \sin t \implies F_{2}(s)= \frac{1}{1 + s^{2}}$. In any case that is not a trivial task...

An Italian adage says 'The Devil is not so ugly as You paint him' so that we try to compute the integral...

$\displaystyle I(s) = \int_{c - i\ \infty}^{c + i\ \infty} \frac{d z}{z^{1 + \alpha}\ \{1 + (s - z)^{2}\}}\ (1)$

... and we do that integrating along the path illustrated in the figure...

http://www.123homepage.it/u/i78713278._szw380h285_.jpg.jfif

If T tends to infinity the integral along the 'big circle' tends to 0 so that integral is given by...

$\displaystyle I(s)= - \lim_{z \rightarrow s + i} \frac{1}{z^{1 + \alpha}\ (s - z - i)} - \lim_{z \rightarrow s - i} \frac{1}{z^{1 + \alpha}\ (s - z + i)}= \frac{1}{2\ i\ (s+i)^{1 + \alpha}} + \frac{1}{2\ i\ (s-i)^{1 + \alpha}}\ (2)$

... so that the final result should be...

$\displaystyle \int_{0}^{\infty} t^{\alpha}\ \sin t\ e^{-t}\ d t = \frac{\Gamma(1 + \alpha)}{2\ \pi\ i} I(1) = \frac{\Gamma (1 + \alpha)}{4\ \pi} \frac{(1 + i)^{1 + \alpha} + (1-i)^{1 + \alpha}}{2^{1 + \alpha}}\ (3)$

Since in pure calculus I am very poor, it should be useful that some 'young mind' verifies all that...

Kind regards

$\chi$ $\sigma$
 
Re: Help me~♡ Difficult improper integrals in real analysis.

ZaidAlyafey said:
I did not see the answer but I think it should be

$$\Im \left (\frac{\Gamma (\alpha +1)}{(1-i)^{\alpha +1}}\right)$$

$$(1-i) = \sqrt{2} e^{-i \frac{\pi }{4}}$$

$$\frac{1}{(1-i)^{\alpha +1}} = 2^{-\frac{1+\alpha }{2}} e^{i \frac{\pi (\alpha+1) }{4}}$$

$$ \Im \left( \frac{1}{(1-i)^{\alpha +1}} \right) = 2^{-\frac{1+\alpha }{2}} \sin \left(\frac{ \pi (\alpha+1) }{4} \right)$$

$$ I = \Gamma \left(\alpha +1 \right)\Im \left( \frac{1}{(1-i)^{\alpha +1}} \right) = 2^{-\frac{1+\alpha }{2}} \sin \left(\frac{ \pi (\alpha+1) }{4} \right) \Gamma (\alpha+1)$$

However , W|A says that this result is for all $$\alpha >-2$$ , so we have to extend it for the singularity at $$\alpha =- 1$$.
 
  • #10
Hello.
At first, I want to tell you I'm so sorry because I wrote problems in detail.

The problem is judging when the improper integrals are convergent.
(i.e., the problem is finding the ranges for the improperintegrals: convergent.)

I wrote the problems' solutions I have in my blog.
(The file is so large that I uploaded in my blog. Please click here. Thank you.)(heart)
I have solutions someone solved. However, i don't know how I have to solve them.

p.s. ZaidAlyafey sovled by using Laplace but I don't know Laplace.
Are my problems so difficult??
 
Last edited:
  • #11
That result could of course be generalized.$ \displaystyle \int_{0}^{\infty} {e^{-ax}} \sin (bx) x^{s-1} \ dx \ (a,s >0)$

$ \displaystyle = -\text{Im} \int_{0}^{\infty} e^{-(a+ib)x} x^{s-1} \ dx $

$ \displaystyle = -\text{Im} \ \mathcal{L}\{x^{s-1} \}(a+ib) $

$ \displaystyle = -\text{Im} \ \frac{\Gamma(s)}{(a+ib)^{s}}$

$ \displaystyle = - \text{Im} \ \frac{\Gamma(s)}{\left( \sqrt{a^{2}+b^{2}} \right)^{s}} \ e^{-is \arctan \frac{b}{a}}$

$ \displaystyle = \frac{\Gamma(s)}{\left( \sqrt{a^{2}+b^{2}} \right)^{s}} \ \sin \left( s \arctan \frac{b}{a} \right)$And if $-1 < s < 0$,

$ \displaystyle \int_{0}^{\infty} {e^{-ax}} \sin (bx) x^{s-1} \ dx = \frac{\pi \csc (\pi s) }{\Gamma(1-s) \left( \sqrt{a^{2}+b^{2}} \right)^{s}} \ \sin \left( s \arctan \frac{b}{a} \right)$
 
Last edited:

Similar threads

  • · Replies 5 ·
Replies
5
Views
3K
  • · Replies 5 ·
Replies
5
Views
4K
  • · Replies 2 ·
Replies
2
Views
3K
  • · Replies 12 ·
Replies
12
Views
3K
Replies
2
Views
3K
  • · Replies 7 ·
Replies
7
Views
3K
  • · Replies 10 ·
Replies
10
Views
5K
Replies
2
Views
2K
  • · Replies 1 ·
Replies
1
Views
802
Replies
2
Views
2K