Divergence of the Navier-Stokes Equation

Click For Summary
SUMMARY

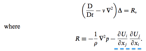
The discussion focuses on the divergence of the Navier-Stokes equation, specifically addressing the challenge of understanding the source of certain terms in the equation. The Navier-Stokes equation is defined as (DUj/Dt) = v [(∂2Ui/∂xj∂xi) + (∂2Uj/∂xi∂xi)] – 1/ρ (∇p). A key point raised is that the terms in blue cannot originate from the linear section of the equation, as they are non-linear in velocity. The recommended approach is to derive the equation for each component and take the partial derivatives accordingly.

PREREQUISITES
  • Understanding of the Navier-Stokes equation
  • Familiarity with material derivatives in fluid dynamics
  • Knowledge of partial derivatives and vector calculus
  • Concept of kinematic viscosity and pressure gradients
NEXT STEPS
  • Study the derivation of the Navier-Stokes equation for each component
  • Learn about non-linear terms in fluid dynamics
  • Explore the implications of non-solenoidal velocity fields
  • Investigate advanced topics in vector calculus relevant to fluid mechanics
USEFUL FOR

Researchers, graduate students, and professionals in fluid dynamics, applied mathematics, and engineering who are looking to deepen their understanding of the Navier-Stokes equation and its applications.

FluidStu
Messages
25
Reaction score
3
The Navier-Stokes equation is:

(DUj/Dt) = v [(∂2Ui/∂xj∂xi) + (∂2Uj/∂xi∂xi)] – 1/ρ (∇p)

where D/Dt is the material (substantial) derivative, v is the kinematic viscosity and ∇p is the modified pressure gradient (taking into account gravity and pressure). Note that the velocity field is non-solenoidal (∇⋅U ≠ 0).

How, then, can we take the divergence of this equation and get the following result?:

upload_2016-5-2_15-2-40.png


I can follow all of the terms other than the one underlined in blue. I know that it comes from the blue section of the Navier-Stokes written above, since I can easily get all the other terms.

Thanks in advance
 
Physics news on Phys.org
FluidStu said:
The Navier-Stokes equation is:

(DUj/Dt) = v [(∂2Ui/∂xj∂xi) + (∂2Uj/∂xi∂xi)] – 1/ρ (∇p)

where D/Dt is the material (substantial) derivative, v is the kinematic viscosity and ∇p is the modified pressure gradient (taking into account gravity and pressure). Note that the velocity field is non-solenoidal (∇⋅U ≠ 0).

How, then, can we take the divergence of this equation and get the following result?:

View attachment 100112

I can follow all of the terms other than the one underlined in blue. I know that it comes from the blue section of the Navier-Stokes written above, since I can easily get all the other terms.

Thanks in advance
The terms in blue can not come from the blue section of the NS. They are non-linear in velocity, and blue section of the NS equation is linear in velocity. The blue terms in your relationship must come from the left side of the NS equation.

My advice to you is to write out the NS equation for each of the three components. Then take the partial of the x component with respect to x, the partial of the y component with respect to y, and the partial of the z component with respect to z. Then add the resulting 3 equations. This will be bulletproof.

chet
 

Similar threads

  • · Replies 11 ·
Replies
11
Views
2K
  • · Replies 3 ·
Replies
3
Views
2K
  • · Replies 4 ·
Replies
4
Views
2K
  • · Replies 18 ·
Replies
18
Views
3K
  • · Replies 8 ·
Replies
8
Views
4K
  • · Replies 5 ·
Replies
5
Views
5K
  • · Replies 6 ·
Replies
6
Views
3K
  • · Replies 1 ·
Replies
1
Views
5K
  • · Replies 2 ·
Replies
2
Views
2K
  • · Replies 18 ·
Replies
18
Views
6K