Does anyone understand this answer? proving sin(A-B)

  • Thread starter Thread starter eeuler
  • Start date Start date
Click For Summary
SUMMARY

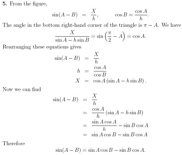
The discussion revolves around understanding the trigonometric identity related to the expression sin(π/2 - A) in the context of a right triangle. The confusion arises from the misinterpretation of the angles in the triangle, specifically the angle in the bottom right corner, which is correctly identified as π/2 - A, not π - A. This clarification resolves the initial misunderstanding and highlights the importance of recognizing that the two non-right angles in a right triangle must sum to π/2.

PREREQUISITES
  • Basic understanding of trigonometric identities
  • Familiarity with right triangle properties
  • Knowledge of angle relationships in triangles
  • Ability to interpret mathematical expressions and diagrams
NEXT STEPS
  • Study the derivation and applications of trigonometric identities
  • Learn about angle relationships in right triangles
  • Explore the concept of complementary angles in trigonometry
  • Practice solving problems involving sin, cos, and tan functions
USEFUL FOR

Students studying trigonometry, educators teaching mathematical concepts, and anyone seeking to clarify their understanding of angle relationships in right triangles.

eeuler
Messages
24
Reaction score
0
I had no clue how to do this and could only grasp the first basic parts but even then i couldn't get it right and in the end i had to look at the answer, which confused me even more. So i was wondering if anyone else understands this, and if so could you describe it in words please?

Homework Statement


6k4i3jt.jpg



Homework Equations


As above


The Attempt at a Solution


89jcqhs.jpg


I understand the first part, getting cos B from the graph...yet when it gets to the other part '...angle in the bottom right hand corner of the triangle is PI - A...' i don't understand how they came to that...but i was wondering, the sin (PI/2 - A) seems to be related to a trigonometric identity? If someone could explain it that would be great.
 
Physics news on Phys.org
eeuler said:
I had no clue how to do this and could only grasp the first basic parts but even then i couldn't get it right and in the end i had to look at the answer, which confused me even more. So i was wondering if anyone else understands this, and if so could you describe it in words please?

Homework Statement


6k4i3jt.jpg



Homework Equations


As above


The Attempt at a Solution


89jcqhs.jpg


I understand the first part, getting cos B from the graph...yet when it gets to the other part '...angle in the bottom right hand corner of the triangle is PI - A...' i don't understand how they came to that...but i was wondering, the sin (PI/2 - A) seems to be related to a trigonometric identity? If someone could explain it that would be great.
The angle in the bottom right hand corner is NOT [itex]\pi- A[/itex]. The two non-right angles in a right triangle must add to [itex]\pi/2[/itex]. Since the whole angle in the upper left is A, the angle in the bottom righthand corner is [itex]\pi/2- A[/itex].
 
Thank you for that, it clears some of the confusion, thanks.
 

Similar threads

Replies
4
Views
2K
  • · Replies 2 ·
Replies
2
Views
1K
  • · Replies 1 ·
Replies
1
Views
2K
  • · Replies 36 ·
2
Replies
36
Views
4K
Replies
3
Views
1K
  • · Replies 3 ·
Replies
3
Views
2K
  • · Replies 22 ·
Replies
22
Views
2K
  • · Replies 2 ·
Replies
2
Views
2K
  • · Replies 10 ·
Replies
10
Views
2K
  • · Replies 34 ·
2
Replies
34
Views
3K