Don't understand this application of the transform of an integral

Click For Summary

Homework Help Overview

The discussion revolves around the application of the Laplace transform to the integral of a function, specifically focusing on the expression $$L\{ 1*{ t }^{ 3 }\}$$ and the relevant equations associated with it. Participants are exploring the implications of using a function of both t and tau within the context of the Laplace transform.

Discussion Character

  • Conceptual clarification, Assumption checking, Mathematical reasoning

Approaches and Questions Raised

  • Participants discuss the application of the integral identity for Laplace transforms and question how it applies when the function involves both t and tau. Some suggest that the integral represents a convolution, while others propose using a substitution to simplify the integral.

Discussion Status

The discussion is ongoing, with participants raising questions about the validity of applying the integral identity and exploring the implications of dummy variables in integration. Some guidance has been offered regarding the use of substitutions, but there is no explicit consensus on the correct approach yet.

Contextual Notes

There is a noted confusion regarding the variables of integration and the functions involved in the Laplace transform, as well as the assumptions made in applying the relevant equations. Participants are also referencing textbook instructions that may not align with their understanding.

Turion
Messages
145
Reaction score
2

Homework Statement



$$L\{ 1*{ t }^{ 3 }\}$$

Homework Equations



$$L\{ \int _{ 0 }^{ t }{ f(\tau )d\tau } \} =\frac { L\{ f(t)\} }{ s }$$

The Attempt at a Solution



$$L\{ 1*{ t }^{ 3 }\} \\ =L\{ \int _{ 0 }^{ t }{ { (t-\tau ) }^{ 3 }d\tau } \} \\ =\frac { L\{ { t }^{ 3 }\} }{ s } \\ =\frac { 6 }{ { s }^{ 5 } }$$

The function in the integral is a function of t and tau so how was the identity under "relevant equations" applied?
 
Physics news on Phys.org
Yes, you have ##\int_0^tf(\tau,t)\,d\tau## in the integral instead of ##\int_0^tf(\tau)\,d\tau## and the formula for integral doesn't work. This is convolution so:

##L\{1*t^3\}=L\{1\}\cdot L\{t^3\}##
 
Turion said:

Homework Statement



$$L\{ 1*{ t }^{ 3 }\}$$

Homework Equations



$$L\{ \int _{ 0 }^{ t }{ f(\tau )d\tau } \} =\frac { L\{ f(t)\} }{ s }$$

The Attempt at a Solution



$$L\{ 1*{ t }^{ 3 }\} \\ =L\{ \int _{ 0 }^{ t }{ { (t-\tau ) }^{ 3 }d\tau } \} \\ =\frac { L\{ { t }^{ 3 }\} }{ s } \\ =\frac { 6 }{ { s }^{ 5 } }$$

The function in the integral is a function of t and tau so how was the identity under "relevant equations" applied?
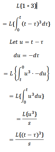
Use the substitution ##u=t-\tau## on the integral to convert it to a more familiar form.
 
@szynkasz: Thanks. I solved it.

vela said:
Use the substitution ##u=t-\tau## on the integral to convert it to a more familiar form.

knawF7X.png


Any suggestions?
 
Remember that ##u## is a dummy variable.
 
vela said:
Remember that ##u## is a dummy variable.

Yeah, I substituted it back in the last step so there is no more u. I'm not sure how that would help me.
 
I don't think you understood my point. In the integral ##\int_0^t u^3\,du##, it doesn't matter what letter we use for the variable of integration. It's a dummy variable.

http://mathworld.wolfram.com/DummyVariable.html

If you evaluated the integral, what variable is it a function of?
 
vela said:
I don't think you understood my point. In the integral ##\int_0^t u^3\,du##, it doesn't matter what letter we use for the variable of integration. It's a dummy variable.

http://mathworld.wolfram.com/DummyVariable.html

If you evaluated the integral, what variable is it a function of?

It's a function of u which is the same thing as saying it's a function of t - tau.
 
Really? Did you actually calculate ##\int_0^t u^3\,du##?
 
  • #10
vela said:
Really? Did you actually calculate ##\int_0^t u^3\,du##?

No, I didn't. The textbook says to apply the identity under "2. Homework Equations " first.
 
  • #11
You wrote
Turion said:
$$L\{ \int _{ 0 }^{ t }{ f(\tau )d\tau } \} =\frac { L\{ f(t)\} }{ s }$$
What variable is ##f## a function of on the left-hand side? What variable is ##f## a function of on the right-hand side? Are they the same? Why not?
 
  • #12
vela said:
You wrote
What variable is ##f## a function of on the left-hand side? What variable is ##f## a function of on the right-hand side? Are they the same? Why not?

On the left hand side, f is a function of tau. On the right hand side, f is a function of t. They are not the same. I'm not sure why they're not the same but I can dig up the proof for it I guess. I think they're not the same because we're doing a transformation.
 
Last edited:
  • #13
I found the proof:

jhaaAgt.png


Honestly, that proof (as most proofs) went right over my head.
 

Similar threads

Replies
2
Views
2K
  • · Replies 1 ·
Replies
1
Views
2K
  • · Replies 1 ·
Replies
1
Views
1K
Replies
3
Views
2K
  • · Replies 1 ·
Replies
1
Views
1K
  • · Replies 105 ·
4
Replies
105
Views
12K
  • · Replies 5 ·
Replies
5
Views
2K
  • · Replies 7 ·
Replies
7
Views
2K
  • · Replies 2 ·
Replies
2
Views
2K
Replies
6
Views
3K