Electric field above a charged square loop

Click For Summary
SUMMARY

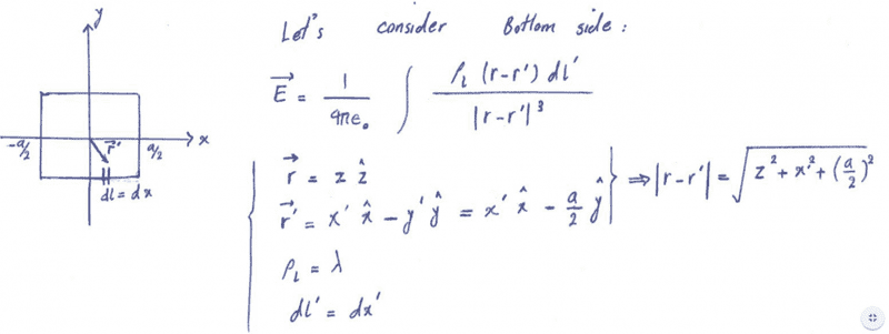
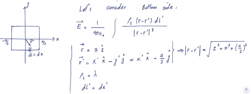
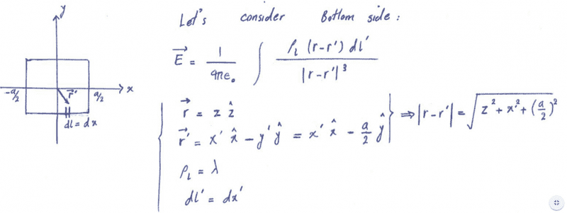
The discussion focuses on understanding the electric field above a charged square loop, specifically addressing the concept of the position vector denoted as r'. Participants clarify that r' represents the position vector from a chosen origin to a charge element within the loop. To determine r', one must select a point on the line and analyze its components in the x and y directions. This foundational understanding is crucial for solving problems related to electric fields in physics.

PREREQUISITES
  • Understanding of electric fields and charge distributions
  • Familiarity with vector notation and components
  • Basic knowledge of calculus for evaluating integrals
  • Concept of position vectors in physics
NEXT STEPS
  • Study the derivation of electric fields from charge distributions using integration techniques
  • Learn about the application of Coulomb's Law in calculating electric fields
  • Explore the concept of potential difference in relation to electric fields
  • Investigate the effects of different geometries on electric field calculations, such as circular and rectangular loops
USEFUL FOR

This discussion is beneficial for physics students, educators, and anyone interested in mastering the principles of electrostatics and electric field calculations.

Cocoleia
Messages
293
Reaction score
4

Homework Statement


upload_2017-2-23_19-46-40.png


Homework Equations

The Attempt at a Solution


I have the complete solutions for this problem, I just don't understand them:
upload_2017-2-23_19-47-35.png

This is the first part. I don't understand what r' is, or how we found it. Otherwise I understand the concept of the problem just not the details...
 
Physics news on Phys.org
Cocoleia said:

Homework Statement


View attachment 113644

Homework Equations

The Attempt at a Solution


I have the complete solutions for this problem, I just don't understand them:
View attachment 113645
This is the first part. I don't understand what r' is, or how we found it. Otherwise I understand the concept of the problem just not the details...
r' is the position vector from selected origen to a charge element.
1487898499942.jpeg
and to get the value of r' choose one point on the line and draw the vector to that point to see which are its components in x and y direction.
 
  • Like
Likes   Reactions: Cocoleia

Similar threads

  • · Replies 4 ·
Replies
4
Views
1K
  • · Replies 28 ·
Replies
28
Views
2K
Replies
9
Views
1K
  • · Replies 6 ·
Replies
6
Views
2K
  • · Replies 12 ·
Replies
12
Views
3K
Replies
4
Views
4K
  • · Replies 26 ·
Replies
26
Views
3K
  • · Replies 22 ·
Replies
22
Views
3K
  • · Replies 7 ·
Replies
7
Views
3K
Replies
1
Views
2K