Electric field above an off-center finite line charge

Click For Summary

Homework Help Overview

The problem involves calculating the electric field at a point above a finite line charge, characterized by its length and linear charge density. The specific challenge is to express the final answer in terms of a single variable related to the position of the point of interest.

Discussion Character

  • Exploratory, Assumption checking, Mathematical reasoning

Approaches and Questions Raised

  • Participants discuss setting up integrals for the electric field components Ex and Ey, with some questioning the variable assignments and the setup of the integrals. There is a suggestion to change the variable for the charge element to avoid confusion.

Discussion Status

Some participants are actively revising their approaches based on feedback, particularly regarding the use of variables in the integrals. There is an ongoing exploration of the mathematical expressions involved, with no clear consensus reached yet.

Contextual Notes

Participants are navigating potential pitfalls in variable assignments and the implications of the problem's wording. The discussion reflects a focus on ensuring clarity in the mathematical setup without resolving the underlying problem.

Phezik

Homework Statement


5V6B49S.png

There is a finite line charge with length L = 1 meter and linear charge density λ = 1*10^-16 C/m. Point P is h = 70cm above the line charge and distance x from the right end of the line charge. The magnitude and direction of the electric field at point P must be found. The final answer should only contain one variable, unknown length x.

Homework Equations


Gauss's Law: ∫E*dA = Q/ε0
Trig Equations: a2+b2=c2, cosθ=adjacent/hypotenuse, sineθ=opposite/hypotenuse
Vector Equations: Magnitude of a vector E with components Ex and Ey, √(Ex2+Ey2)


The Attempt at a Solution


Yoic5Of.jpg

I set up two integrals to try to solve this problem one for each component of E, the electric field vector. Ex and Ey. Ey was setup using Gauss's law and and using hypotenuse R for the distance times cosθ to find the y competent of the electric field. The integral was then written in terms of height h and distance x and length L for the limits of integration. I then solved the integral to obtain the equation for Ey. I did an identical procedure for Ex except using sinθ to find the x component of the vector.

After finding Ex and Ey I could find E's magnitude using the formula for a vector's magnitude given it's components. I then used cotangent inverse to find the angle (and therefore the direction) of electric field vector E. I added 180° to this angle to find it's angle from the positive x axis.

My theory and execution all seemed correct when I went over it to try to find where I went wrong. I was able to successfully use the same method to find the electric field over a line charge where the point was above the middle of the finite line charge by only finding Ey as the Ex components canceled out. I'm thinking there might be an error in my vector analysis as I only had to deal with one component in the previous problem.
 
Physics news on Phys.org
The way the question is written has lured you into a trap.
The x in the diagram is a constant, whereas the dx refers to the length an element of the charge at offset x, a different x.
I suggest changing the element offset to y and using dy for its length.
 
ov53JT9.jpg


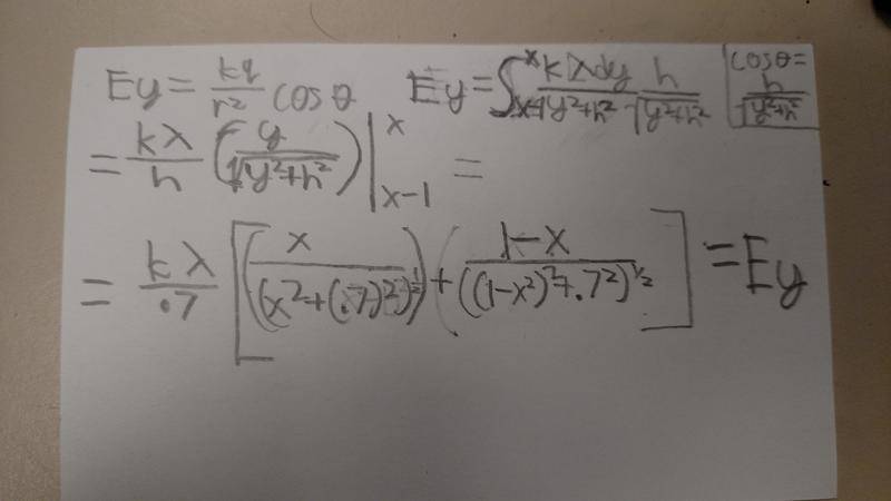
I tried solving for Ex using your input. I used dy for the integral and used offset x as a constant. I am assuming I should solve for Ey using the same method.
 
Here are my updated attempts to solve for Ey and the magnitude and direction(sorry for the low quality images):
TMo7S8p.jpg

7W9a2Ep.jpg
 
How do you get y(y2+h2) for the integral?
Have you tried differentiating that to check?
 
haruspex said:
How do you get y(y2+h2) for the integral?
Have you tried differentiating that to check?

I redid the integral and got y*h^-1*(y^2+h^2)^(-1/2)
 

Similar threads

Replies
1
Views
2K
Replies
6
Views
4K
  • · Replies 7 ·
Replies
7
Views
2K
  • · Replies 5 ·
Replies
5
Views
2K
Replies
9
Views
2K
  • · Replies 6 ·
Replies
6
Views
2K
  • · Replies 79 ·
3
Replies
79
Views
10K
Replies
4
Views
4K
  • · Replies 5 ·
Replies
5
Views
2K
  • · Replies 6 ·
Replies
6
Views
1K