Energy governing equation in terms of PRESSURE

  • Context: Graduate 
  • Thread starter Thread starter jollage
  • Start date Start date
  • Tags Tags
    Energy Pressure Terms
Click For Summary
SUMMARY

The discussion focuses on deriving the energy governing equation for compressible flow in terms of pressure (p) from the total energy density (e) using the perfect gas assumption and constant viscosity. The user, Jo, seeks validation of their derivation and requests references for further study. The key takeaway is the importance of understanding the relationship between energy density and pressure in fluid dynamics, particularly in compressible flow scenarios.

PREREQUISITES
  • Understanding of compressible flow dynamics
  • Familiarity with the perfect gas law
  • Knowledge of energy density concepts in thermodynamics
  • Basic principles of fluid viscosity
NEXT STEPS
  • Research the derivation of the energy equation in compressible flow
  • Study the perfect gas law and its applications in fluid dynamics
  • Explore resources on energy density and pressure relationships
  • Investigate the effects of viscosity on compressible flow equations
USEFUL FOR

Students and professionals in fluid dynamics, mechanical engineers, and researchers focusing on thermodynamics and compressible flow analysis.

jollage
Messages
61
Reaction score
0
Hi all,

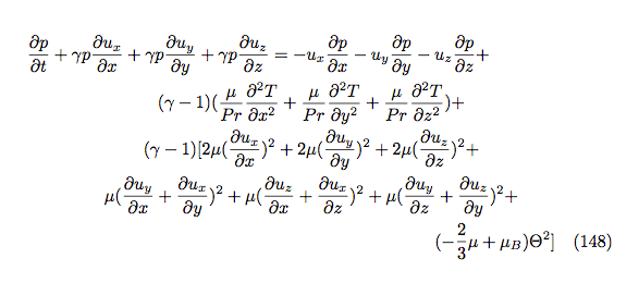
I derived the energy equation for compressible flow in terms of pressure p from the governing equation in terms of the total energy density e (using the perfect gas assumption and assuming constant viscosity), but I am not sure if I did it correctly. I post it here, please tell me if it's right, or suggest me some useful references I could consult. Thanks a lot!

Jo
 

Attachments

  • pressure.png
    pressure.png
    9 KB · Views: 614
Physics news on Phys.org
Anyone could help me?
Thanks!

Jo
 

Similar threads

  • · Replies 18 ·
Replies
18
Views
3K
  • · Replies 6 ·
Replies
6
Views
1K
  • · Replies 20 ·
Replies
20
Views
4K
  • · Replies 48 ·
2
Replies
48
Views
6K
  • · Replies 14 ·
Replies
14
Views
2K
  • · Replies 10 ·
Replies
10
Views
2K
  • · Replies 21 ·
Replies
21
Views
3K
  • · Replies 19 ·
Replies
19
Views
2K
  • · Replies 48 ·
2
Replies
48
Views
5K
  • · Replies 5 ·
Replies
5
Views
2K