Evaluate Fourier series coefficients and power of a signal

Click For Summary

Discussion Overview

The discussion revolves around deriving the expression for Fourier series coefficients in exponential form for a sequence of rectangular pulses, as well as evaluating the signal power in relation to these coefficients. The scope includes theoretical derivation and mathematical reasoning related to Fourier series and signal power.

Discussion Character

  • Homework-related
  • Mathematical reasoning
  • Debate/contested

Main Points Raised

  • One participant expresses uncertainty about how to evaluate signal power based on Fourier series coefficients, questioning whether average power is dependent on these coefficients.
  • Another participant points out potential errors in notation and assumptions, suggesting that the variable θ should not be equated to ωot, as θ represents a fixed pulse duration.
  • A different participant suggests that the Fourier series will consist of a sum of cosines and discusses the integration of terms proportional to cos(kωot) and cos(lωot) over one period, hinting at which terms may remain after integration.
  • One participant proposes that power can be derived from Fourier coefficients and mentions that power in a given harmonic is independent of power in other harmonics, referencing Parseval's theorem.

Areas of Agreement / Disagreement

Participants express differing views on the relationship between average power and Fourier series coefficients, with some asserting that average power is not dependent on these coefficients while others suggest it can be derived from them. There is also disagreement regarding the interpretation of the variable θ and its relation to time.

Contextual Notes

There are unresolved issues regarding the definitions and assumptions about the variables involved, particularly the interpretation of θ and its relationship to time. The discussion also highlights the need for clarity in notation and the implications of integrating certain terms in the Fourier series.

gruba
Messages
203
Reaction score
1

Homework Statement


Derive the expression for coefficients of Fourier series in exponential form for the sequence of rectangular pulses (with amplitude A, period T and duration θ) shown in this image:
zIFwB.png


Derive the expression for signal power depending on the coefficients of Fourier series.

Homework Equations


-Fourier series

The Attempt at a Solution


Xwmh0.png

I don't know how to evaluate the signal power depending on the coefficients of Fourier series.

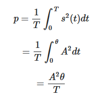
Average power is given by:
rDqEl.png

Average power is not dependent on Fourier series coefficients. Is this a mistake in evaluation?
Is the signal power depending on the coefficients of Fourier series equal to the average power?

How to evaluate the signal power depending on the coefficients of Fourier series?
 
Physics news on Phys.org
A few minor points first: in the equation defining the Fourier series, x(t) should be s(t); and θ = ωot , so you should have sin(/2) etc.
What happens when k = 0? And in your equation defining ak, why do you restrict k to be positive?

Average power is not dependent on Fourier series coefficients. Is this a mistake in evaluation?

Reference https://www.physicsforums.com/threa...es-coefficients-and-power-of-a-signal.907514/

I don't have full answers to your questions, but you may be expected to derive a power series whose sum is A2θ/T.

It should be obvious from symmetry that your Fourier series will be a sum of cosines; you could show this by combining the +k and -k terms. When you square it, you'll get terms proportional to cos(ot).cos(ot), where k and l are integers. Most of these terms will vanish when you integrate over one period, T. Which ones will remain, and what will they look like after integration? Without working it out, I think from that point everything might reduce to a sensible answer.
 
John Park said:
[...] and θ = ωot , so you should have sin(/2) etc. [...]

According to the problem statement, θ represents the fixed pulse duration. It is not a function of time [itex]t[/itex], rather it is a constant. Why the variable θ was chosen to represent the pulse duration is anybody's guess. But in this case I do not think the claim that θ = ωot is correct.
 
Power is directly obtainable from the Fourier coefficients. Hint: power in a given harmonic is independent of power in any of the other harmonics.
Cf. also Parseval's theorem.
 

Similar threads

  • · Replies 6 ·
Replies
6
Views
5K
  • · Replies 3 ·
Replies
3
Views
6K
  • · Replies 3 ·
Replies
3
Views
2K
  • · Replies 9 ·
Replies
9
Views
3K
  • · Replies 3 ·
Replies
3
Views
2K
  • · Replies 2 ·
Replies
2
Views
2K
  • · Replies 12 ·
Replies
12
Views
3K
  • · Replies 6 ·
Replies
6
Views
18K
  • · Replies 3 ·
Replies
3
Views
2K
  • · Replies 2 ·
Replies
2
Views
7K