Evaluate integral using Green Theorem

Click For Summary

Homework Help Overview

The discussion revolves around evaluating an integral using Green's Theorem, specifically focusing on the integration of the function e^(y^2). Participants explore the challenges associated with this integral and the implications of changing the order of integration.

Discussion Character

  • Exploratory, Assumption checking, Mathematical reasoning

Approaches and Questions Raised

  • Participants discuss the difficulty of integrating e^(y^2) and consider changing the order of integration as a potential approach. There are questions about how to properly parametrize the curve and adjust the limits of integration accordingly.

Discussion Status

The discussion has progressed with some participants suggesting methods to check the results, such as using computational tools. There appears to be a productive exchange of ideas regarding the order of integration and its effects on the problem.

Contextual Notes

There is mention of the error function in relation to the integral, indicating a potential complexity in the evaluation. Participants are also navigating the constraints of the problem setup and the requirements of Green's Theorem.

daphnelee-mh
Messages
62
Reaction score
4
Homework Statement
(question is attached below)
Relevant Equations
∮Pdx+Qdy=∬ [ (∂Q/∂x)-(∂P/∂y)]dA
1593773577298.png

I got stuck here, how to integrate e^(y^2), I searched but it's something like error function
 
Physics news on Phys.org
Try changing the order of integration.
 
  • Like
Likes   Reactions: daphnelee-mh
But you usually parametrize the curve along which you integrate. Edit: Change the limits of integration accordingly when you change the order of integration. These limits should be a function of y alone and not of x. Does that work?
 
Last edited:
WWGD said:
But you usually parametrize the curve along which you integrate. Edit: Change the limits of integration accordingly when you change the order of integration. These limits should be a function of y alone and not of x. Does that work?
1593817335698.png

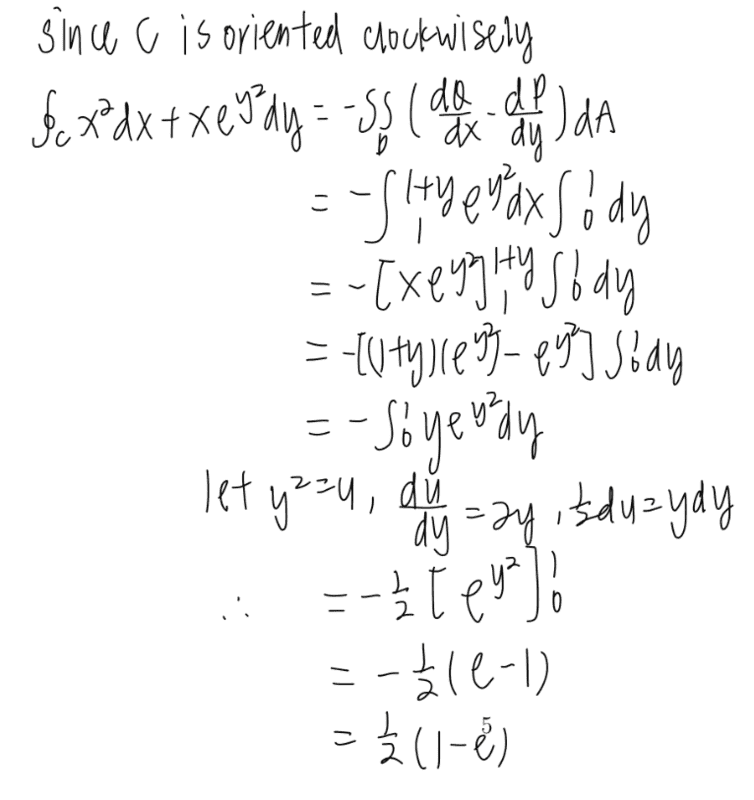
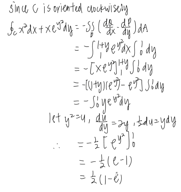
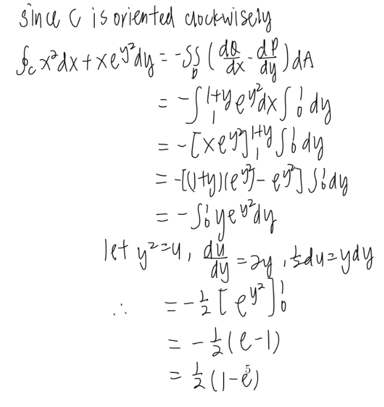
I got this answer after changed the integrating order
 
daphnelee-mh said:
View attachment 265800
I got this answer after changed the integrating order
Looks right. Do you have a way of checking? Maybe Wolfram?
 
I checked it using Mathway just now, it's correct, thank you.
 
  • Like
Likes   Reactions: WWGD

Similar threads

Replies
3
Views
2K
Replies
28
Views
2K
  • · Replies 3 ·
Replies
3
Views
2K
  • · Replies 10 ·
Replies
10
Views
2K
  • · Replies 1 ·
Replies
1
Views
2K
  • · Replies 2 ·
Replies
2
Views
2K
  • · Replies 2 ·
Replies
2
Views
1K
  • · Replies 7 ·
Replies
7
Views
3K
  • · Replies 5 ·
Replies
5
Views
2K
  • · Replies 6 ·
Replies
6
Views
3K