Finding Residuals A, B & C: Step-by-Step Guide

  • Thread starter Thread starter Ry122
  • Start date Start date
Click For Summary

Homework Help Overview

The discussion revolves around determining the values of the residuals A, B, and C from a given equation involving fractions and polynomial expressions. The subject area pertains to algebraic manipulation and partial fraction decomposition.

Discussion Character

  • Exploratory, Mathematical reasoning, Problem interpretation

Approaches and Questions Raised

  • Participants discuss methods for solving for A, B, and C, including setting up equations by equating coefficients and substituting specific values for s to generate equations. Questions arise regarding the steps taken in the manipulation of the equation.

Discussion Status

The discussion includes attempts to clarify the steps needed to isolate the residuals, with some participants providing alternative methods for generating equations. There is an indication of productive exploration, though no consensus has been reached on a single approach.

Contextual Notes

Participants are working within the constraints of the problem as posed, with some expressing confusion about specific manipulations in the equation. There are indications of assumptions being questioned, particularly regarding the setup of the original equation.

Ry122
Messages
563
Reaction score
2

Homework Statement



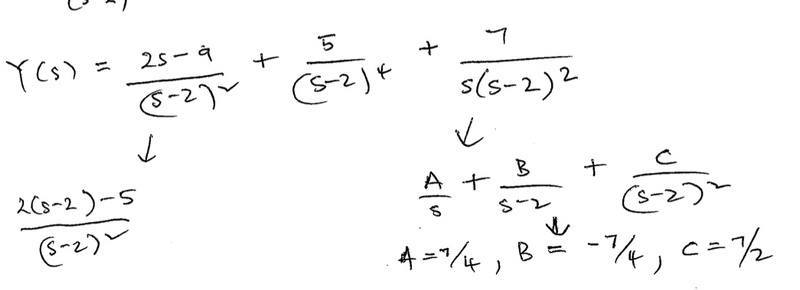
Given the following working, what steps must be taken to determine the values of the residuals A, B, and C?

Homework Equations





The Attempt at a Solution

 

Attachments

  • Untitled 2.jpg
    Untitled 2.jpg
    14.3 KB · Views: 475
Physics news on Phys.org
You have
[tex]\frac{7}{s(s- 2)^2}= \frac{A}{s}+ \frac{B}{s- 2}+ \frac{C}{(s- 2)^2}[/tex]

Multiply on both sides by [itex]s(s- 2)^2[/itex] to get
[tex]7= A(s- 2)^2+ Bs(s- 2)+ Cs[/tex]

Now you can
1) multiply the right side and combine "like powers of s":
[tex]7= As^2+ 4As+ 4A+ Bs^2- 2Bs+ Cs= (A+ B)s^2+ (4A- 2B+ C)s+ 4A[/tex]
for all s so we must have A+ B= 0, 4A- 2B= 0, and 4= 7, three equations to solve for A, B, and C.
or
2) Choose any three values for s you want so as to get three equations to solve for A, B, and C. For example, since we have the term s-2, taking s= 2 reduces to just 2C= 7. Since we have the term s, taking s= 0 reduces to 4A= 7. Taking s= 1, just because it is an easy number, A- B+ C= 7.
 
thanks
 
why was the right most term duplicated onto the LHS?
EDIT: nevermind, i worked it out
 

Similar threads

Replies
2
Views
1K
Replies
4
Views
2K
  • · Replies 2 ·
Replies
2
Views
2K
  • · Replies 5 ·
Replies
5
Views
2K
Replies
1
Views
2K
  • · Replies 1 ·
Replies
1
Views
1K
  • · Replies 5 ·
Replies
5
Views
2K
  • · Replies 2 ·
Replies
2
Views
2K
  • · Replies 4 ·
Replies
4
Views
3K
Replies
3
Views
1K