Finding the Area Under f(x) with Definition 2

  • Thread starter Thread starter phillyolly
  • Start date Start date
  • Tags Tags
    Integral
Click For Summary

Homework Help Overview

The problem involves finding an expression for the area under the graph of the function f(x) = (ln x) / x over the interval [3, 10] using Definition 2, without evaluating the limit.

Discussion Character

  • Exploratory, Assumption checking, Problem interpretation

Approaches and Questions Raised

  • Participants discuss the need to express the integral as a limit of a summation, with some seeking clarification on the correct setup for Δx and xi. Others question the accuracy of the algebra involved in the summation.

Discussion Status

The discussion is ongoing, with participants providing feedback on each other's attempts and pointing out areas for correction. Some guidance has been offered regarding the necessary components of the limit expression, but no consensus has been reached on the correctness of the current attempts.

Contextual Notes

Participants are reminded to adhere to the constraints of using Definition 2 and not to evaluate the integral, which shapes the nature of the discussion.

phillyolly
Messages
157
Reaction score
0

Homework Statement




Use Definition 2 to find an expression for the area under the graph of f as a limit. Do not evaluate the limit

f(x)=(lnx)/x

3 ≤ x ≤ 10

Homework Equations



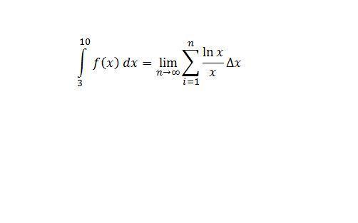
See the attachment for the Definition 2.


The Attempt at a Solution



∫ ln(x) / x dx = 1/2 (ln(x))² + C

10
∫ ln(x) / x dx = 1/2 [ (ln(10))² - (ln(3))² ]
3
 

Attachments

  • 1111.jpg
    1111.jpg
    44.9 KB · Views: 415
Physics news on Phys.org
phillyolly said:

Homework Statement




Use Definition 2 to find an expression for the area under the graph of f as a limit. Do not evaluate the limit

f(x)=(lnx)/x

3 ≤ x ≤ 10

Homework Equations



See the attachment for the Definition 2.


The Attempt at a Solution



∫ ln(x) / x dx = 1/2 (ln(x))² + C

10
∫ ln(x) / x dx = 1/2 [ (ln(10))² - (ln(3))² ]
3

You are supposed to actually use Definition 2, meaning that you are supposed to write the integral as the limit of a summation. The purpose of this exercise is NOT to get a numerical value for the integral.
 
Is this the correct answer to the problem?
 

Attachments

  • answer.jpg
    answer.jpg
    4 KB · Views: 394
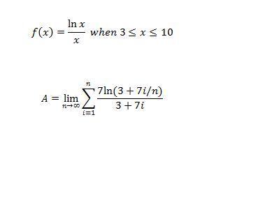
Actually, I think this is a right answer.
 

Attachments

  • answer.jpg
    answer.jpg
    4.8 KB · Views: 366
Almost, but not quite. Show us how you got that. Tell us what you used for Δx and xi first, and show us how you got the summation after you plugged everything in.
 
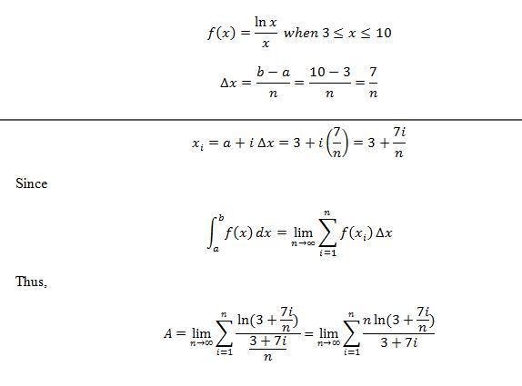
OK, I think I got a mistake. Is that correct now?
 

Attachments

  • answer.jpg
    answer.jpg
    14.4 KB · Views: 431
Closer. You forgot the factor of Δx in the summation, and you made an algebra error.
 
I see I forgot the factor of Δx. I don't see an algebra error :(
Olga
 
In the denominator, you didn't use the correct expression for xi.
 
  • #10
I admire your attention to detail. Thank you a lot.
 
  • #11
Being good at mathematics requires attention to detail.
 

Similar threads

  • · Replies 6 ·
Replies
6
Views
2K
  • · Replies 14 ·
Replies
14
Views
2K
  • · Replies 6 ·
Replies
6
Views
2K
  • · Replies 4 ·
Replies
4
Views
2K
Replies
5
Views
2K
  • · Replies 54 ·
2
Replies
54
Views
17K
  • · Replies 4 ·
Replies
4
Views
1K
Replies
14
Views
10K
  • · Replies 1 ·
Replies
1
Views
1K
  • · Replies 7 ·
Replies
7
Views
10K