Finding the Centre of Mass Using Pappus's 2nd Theorem

Click For Summary
SUMMARY

The discussion focuses on calculating the center of mass using Pappus's 2nd Theorem, specifically for a frame composed of two semi-circles. The established method involves finding the individual center of mass for each semi-circle, summing their moment contributions, and dividing by the total mass. The alternative method proposed considers the diameter of each semi-circle and the distance from the straight edge to the center of mass, leading to the conclusion that the straight edge's mass must be accounted for in the calculations. The conversation highlights the implications of additional curves on the center of gravity (c.g.) and confirms that the same results can be achieved through different approaches.

PREREQUISITES
  • Understanding of Pappus's 2nd Theorem
  • Knowledge of center of mass calculations
  • Familiarity with geometric properties of semi-circles
  • Basic principles of mass distribution
NEXT STEPS
  • Study advanced applications of Pappus's Theorem in complex shapes
  • Explore the impact of mass distribution on center of mass in composite shapes
  • Learn about the integration of multiple curves in center of mass calculations
  • Investigate numerical methods for calculating center of mass in irregular shapes
USEFUL FOR

Students and professionals in physics and engineering, particularly those focused on mechanics and structural analysis, will benefit from this discussion on calculating the center of mass using Pappus's 2nd Theorem.

unscientific
Messages
1,728
Reaction score
13

Homework Statement



The question is attached in the first picture.


The Attempt at a Solution



The method they used makes perfect sense, but I can't see what's wrong with my method.

Their method
1. Find individual centre of mass of each semi-circle by Pappus's 2nd theorem
2. Sum up both moment contributions
3. Divide by total mass


My Method

Letting L = diameter of each semi-circle, and let d = distance from straight edge to centre of mass of entire frame.

First, we know the centre of mass must be half-way along the straight edge. Then, it must be perpendicularly above the straight edge.

Area of frame S = 2∏L2

By Pappus's 2nd theorem,

2∏L2 = (2∏d)(∏L)

d = L/∏

...


The only assumption I can think of here is that the straight edge has mass, which will affect the distance from the straight edge to centre of mass.

Thinking from the perspective of pappus's 2nd theorem, they assume that the only curve is the one above the y-axis. What happens if there's an additional curve y = 0?

In physical terms, the additional mass will definitely affect the height of c.g. above the y-axis. What happens if there is more than 1 curve? Is there still a way to describe the c.g. then?
 

Attachments

  • B1.jpg
    B1.jpg
    63.3 KB · Views: 620
  • B2.jpg
    B2.jpg
    4.5 KB · Views: 562
  • pappus.jpg
    pappus.jpg
    36.4 KB · Views: 541
Physics news on Phys.org
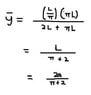
Adapting the centre of mass formula to fit Pappus's terms, this is what I've found:

I have proven that the same answer can be reached..
 

Attachments

  • pappus2.jpg
    pappus2.jpg
    5.3 KB · Views: 562
  • pappus3.jpg
    pappus3.jpg
    7.8 KB · Views: 518

Similar threads

  • · Replies 16 ·
Replies
16
Views
6K
  • · Replies 11 ·
Replies
11
Views
2K
Replies
16
Views
2K
Replies
27
Views
5K
  • · Replies 5 ·
Replies
5
Views
5K
Replies
3
Views
2K
  • · Replies 31 ·
2
Replies
31
Views
4K
Replies
1
Views
2K
  • · Replies 23 ·
Replies
23
Views
4K
Replies
3
Views
1K