Finding the singular points for this differential equation

Click For Summary
SUMMARY

The discussion centers on identifying singular points for the differential equation d²y/dx² + ln(x)y = 0. Participants clarify that the task is not to solve the differential equation but to locate its singular points, particularly noting that the equation is undefined at x = 0. The confusion arises from the inclusion of the power series for ln(x), which complicates coefficient comparison. The key takeaway is that singular points are determined by the behavior of the equation at specific values of x, rather than through a power series expansion.

PREREQUISITES
  • Understanding of differential equations, specifically second-order linear differential equations.
  • Familiarity with singular points in the context of differential equations.
  • Knowledge of power series expansions and their applications in solving differential equations.
  • Basic calculus concepts, including logarithmic functions and their properties.
NEXT STEPS
  • Research the concept of singular points in differential equations.
  • Study the method of power series solutions for differential equations.
  • Learn about the behavior of logarithmic functions near their singularities.
  • Explore examples of second-order linear differential equations and their singular points.
USEFUL FOR

Students and educators in mathematics, particularly those studying differential equations, as well as anyone interested in the analysis of singular points in mathematical functions.

JKC

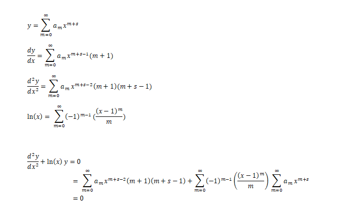
Homework Statement



If d^2/dx^2 + ln(x)y = 0[/B]

Homework Equations



included in attempt

The Attempt at a Solution



I was confused as to whether I include the power series for ln(x) in the solution. It makes comparing coefficients very nasty though.

CS3DKyz.png


Whenever I expand for m=0 for the a0 I end up with a pretty nasty expansion. Can somebody tell me where I'm going wrong here?

Thanks

Note: I understand how tedious this part of calculus is so thanks in advance to anyone willing to take the time to lend a hand.
 

Attachments

  • CS3DKyz.png
    CS3DKyz.png
    5.3 KB · Views: 1,403
Last edited by a moderator:
Physics news on Phys.org
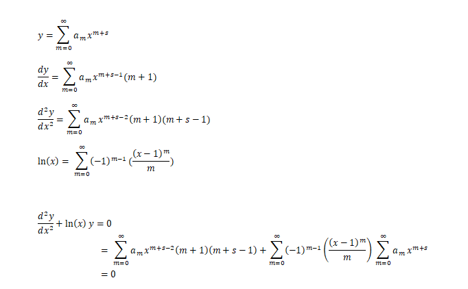
JKC said:

Homework Statement



If d^2/dx^2 + ln(x)y = 0[/B]
You're missing y on the left side.
JKC said:

Homework Equations



included in attempt

The Attempt at a Solution



I was confused as to whether I include the power series for ln(x) in the solution. It makes comparing coefficients very nasty though.

View attachment 213501

Whenever I expand for m=0 for the a0 I end up with a pretty nasty expansion. Can somebody tell me where I'm going wrong here?

Thanks

Note: I understand how tedious this part of calculus is so thanks in advance to anyone willing to take the time to lend a hand.
I think you might be going about it wrong. Based on what you posted, the question is not asking you to solve the DE -- just find the singular points. Obviously you're not going to get a series in powers of x, because the DE is not defined at x = 0.
 

Similar threads

  • · Replies 7 ·
Replies
7
Views
2K
  • · Replies 27 ·
Replies
27
Views
2K
  • · Replies 2 ·
Replies
2
Views
1K
Replies
7
Views
2K
  • · Replies 6 ·
Replies
6
Views
3K
  • · Replies 7 ·
Replies
7
Views
2K
  • · Replies 3 ·
Replies
3
Views
2K
  • · Replies 1 ·
Replies
1
Views
2K
Replies
1
Views
1K
  • · Replies 2 ·
Replies
2
Views
1K