Finding the terminal velocity of a model rocket from a list of velocities

Click For Summary

Discussion Overview

The discussion revolves around the possibility of determining the terminal velocity of a model rocket based on data collected from a launch to 20,000 feet. Participants explore methods to analyze velocity data, calculate drag coefficients, and the implications of different phases of the rocket's flight (ascent vs. descent).

Discussion Character

  • Exploratory
  • Technical explanation
  • Debate/contested
  • Mathematical reasoning

Main Points Raised

  • One participant inquires whether it is possible to find terminal velocity from a dataset that includes times, altitudes, and velocities from a rocket launch.
  • Another participant suggests using Excel to calculate velocity as a function of height data collected during the descent.
  • Concerns are raised about the validity of the 20,000 feet launch height, with some participants expressing skepticism about the numbers presented.
  • Participants discuss the importance of distinguishing between the rocket's behavior during ascent and descent, noting that the drag coefficient may differ in these phases.
  • There is a question about whether terminal velocity can be determined during the coasting phase (burnout) or if it can only be calculated during free fall.
  • Some participants propose that calculating an upper bound for terminal velocity during free fall may be a feasible approach.
  • One participant mentions that they have collected accurate data from a Raven 4 sensor and plans to reach higher altitudes in future launches.

Areas of Agreement / Disagreement

Participants generally agree on the need to analyze the data carefully, but there is no consensus on the methods to determine terminal velocity or the implications of the rocket's orientation during descent. Multiple competing views remain regarding the feasibility of calculating terminal velocity during different flight phases.

Contextual Notes

Participants note that the rocket's drag coefficient may vary between ascent and descent, and the limited data available from the coasting phase may restrict the analysis. There is also uncertainty regarding the accuracy of the reported launch height and the implications for the calculations.

  • #121
sorry it has taken so long. I REALLY REALLY REALLY APRECIATE your mass amounts of PAITENCE with me. I am really good at book work and homework, but real world stuff gets to me and it makes me sad and nervous for my future carer.
 
Physics news on Phys.org
  • #122
this reminds me of slope field diagrams in a way, im guessing where the lin flattens out is terminal velocity? not sure that is correct thinking on my end because based on a terminal V calculator online, i get 598m/s based on the same numbers i used. I am probably jumping ahead

EDIT, i added a linear trend line
 
  • #123
LT72884 said:
sorry it has taken so long. I REALLY REALLY REALLY APRECIATE your mass amounts of PAITENCE with me. I am really good at book work and homework, but real world stuff gets to me and it makes me sad and nervous for my future carer.
You are going to make mistakes, and you'll learn. Get ready to swallow your pride. Thats probably universal for any young engineer.
 
  • Like
Likes   Reactions: LT72884
  • #124
LT72884 said:
At 50m/s.
View attachment 323066
At 55m/s a drastic change
View attachment 323067
This is why scale is really important. How large are these fluctuations when you step back and examine it. You are taking measurements with some sensor, that has some error. You aren't going to get perfection. How much does the average ##\beta## change from 50 -100 , vs 100- 150, vs 150-200? How much is the ##C_d## based on the average for each range?
 
Last edited:
  • #125
erobz said:
You are going to make mistakes, and you'll learn. Get ready to swallow your pride. Thats probably universal for any young engineer.
I agree about the pride. That is why im REALLY grateful that you showed me ALL the steps. I do not expect that from everyone or anyone, and when i have no single clue what i am doing, its so nice to see an example ALL the way through. That is how i learn. step by step and examining each section.
Now that we have this graph with a trend line, what is the next step in determining the terminal velocity?
 
  • #126
erobz said:
This is why scale is really important. How large are these fluctuations when you step back and examine it. You are taking measurements with some sensor, that has some error. You aren't going to get perfection. How much does the average ##\beta## change from 50 -100 , vs 100- 150, vs 150-200? How much is the ##C_d## based on the average for each range?
beta changes a lot from 50 to 100m/s but then the system settles around 200m/s. The Drag Coef seems to be an average of 0.6 from 150 to 200m/s.
 
  • #127
LT72884 said:
At 50m/s.
View attachment 323066
At 55m/s a drastic change
View attachment 323067
That looks like what I'd expect. In my experience (having done similar Cd estimation on some of my rockets), you get pretty noisy data but the higher speed average value ends up being pretty reasonable (and the 0.6 that you found does appear reasonable to me).

The multiple discrete lines of data points at lower speed is also expected - that's due to accelerometer resolution and the fact that at low speeds even with a fairly high Cd, acceleration is low (and thus measurement accuracy and precision are also low unless you had a much fancier and more expensive accelerometer).
 
  • Like
Likes   Reactions: erobz, LT72884 and berkeman
  • #128
cjl said:
That looks like what I'd expect. In my experience (having done similar Cd estimation on some of my rockets), you get pretty noisy data but the higher speed average value ends up being pretty reasonable (and the 0.6 that you found does appear reasonable to me).

The multiple discrete lines of data points at lower speed is also expected - that's due to accelerometer resolution and the fact that at low speeds even with a fairly high Cd, acceleration is low (and thus measurement accuracy and precision are also low unless you had a much fancier and more expensive accelerometer).
so what is happening at 200m/s with this graph? thats where the system settles too. Is this terminal velocity?
I am not sure if it is or not because using the Vt calculation using my 0.62 Cd, density, etc, i get that Vt is close to 600m/s
1677715964280.png


thanks
 
  • #129
LT72884 said:
so what is happening at 200m/s with this graph? thats where the system settles too. Is this terminal velocity?
I am not sure if it is or not because using the Vt calculation using my 0.62 Cd, density, etc, i get that Vt is close to 600m/s
View attachment 323073

thanks
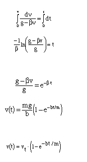
The graph finds ##\beta##. Now, assuming that it is a constant, to find the terminal velocity you have solve the eq in post #40.

To do that: What is the acceleration of the rocket at terminal velocity?

Note: This requires no integration. fully solving the ODE in general for velocity as a function of time is not necessary to determine ##v_{term}##
 
Last edited:
  • Like
Likes   Reactions: LT72884
  • #130
erobz said:
The graph finds ##\beta##. Now, assuming that it is a constant, to find the terminal velocity you have solve the eq in post #40.

To do that: What is the acceleration of the rocket at terminal velocity?

Note: This requires no integration. fully solving the ODE in general for velocity as a function of time is not necessary to determine ##v_{term}##
"To do that: What is the acceleration of the rocket at terminal velocity?" Well, my thinking is either 0 or 9.81 since terminal velocity is where Fd and Fg equalize. So probably 0 then
 
  • #131
LT72884 said:
"To do that: What is the acceleration of the rocket at terminal velocity?" Well, my thinking is either 0 or 9.81 since terminal velocity is where Fd and Fg equalize. So probably 0 then
Actually, I was being a bit hasty. You need to write the DE for the falling rocket first, and then do what I said.
 
  • Like
Likes   Reactions: LT72884
  • #132
erobz said:
Actually, I was being a bit hasty. You need to write the DE for the falling rocket first, and then do what I said.
ok, cool. I have noticed i do not have 0 in my data for acceleration so im guessing its when acceleration is a different value.

post #40 is that not the DE?
 
  • #133
LT72884 said:
post #40 is that not the DE?
Its similar. But you have to think about the directions of the forces when its falling.
 
  • #134
LT72884 said:
ok, cool. I have noticed i do not have 0 in my data for acceleration so im guessing its when acceleration is a different value.
You are not going to find terminal velocity in your data. Why do you think you would?
 
  • #135
erobz said:
You are not going to find terminal velocity in your data. Why do you think you would?
somewhere along the line we were discussing finding the terminal velocity. We discussed how its exponential and if i integrate the equation we have, i do indeed get the terminal velocity equation inside. Somehow i thought we were finding both the Cd and terminal velocity thats why haha. but maybe somewhere we changed our minds because hte math gets to crazy. You also said something about how you think Vt is around 100m/s or so...

wait, i might be taking your question to literal...
1677720932609.png
 
  • #136
LT72884 said:
somewhere along the line we were discussing finding the terminal velocity. We discussed how its exponential and if i integrate the equation we have, i do indeed get the terminal velocity equation inside. Somehow i thought we were finding both the Cd and terminal velocity thats why haha. but maybe somewhere we changed our minds because hte math gets to crazy
View attachment 323075
Firstly, that is a different equation altogether. If you want to solve for the velocity as a function of time you will have to solve the new differential equation (that you haven't yet derived like I asked)

But yes. Minds were changed along the way. You will find that to be a very real part of real world problem solving. You dive in with some idea, and many times the problem or question itself will evolve as you begin to untangle things. Nothing in real world is "solve this using a,b,c,d, assuming d,e,f,g". It's quite literally...Here is this problem...we think, you figure out the rest! I had nothing more than an approach idea wasn't immediately sure what the exact answer was, or how the dots would connect. I started down a road that would have been a real back breaker...and then I had a moment of "clarity" along the way...a "duh" moment if you will.

If you are just after terminal velocity, then solving for ##v(t)## via an integration is not necessary. You can, if you want. Like I said. Its not that equation you've written out above. That is for linear drag models.
 
Last edited:
  • Like
Likes   Reactions: LT72884
  • #137
erobz said:
Firstly, that is a different equation altogether. If you want to solve for the velocity as a function of time you will have to solve the new differential equation (that you haven't yet derived like I asked)

But yes. Minds were changed along the way. You will find that to be a very real part of real world problem solving. You dive in with some idea, and many times the problem or question itself will evolve as you begin to untangle things. Nothing in real world is "solve this using a,b,c,d, assuming d,e,f,g". It's quite literally...Here is this problem...we think, you figure out the rest! I had nothing more than an approach idea wasn't immediately sure what the exact answer was, or how the dots would connect. I started down a road that would have been a real back breaker...and then I had a moment of "clarity" along the way...a "duh" moment if you will.

If you are just after terminal velocity, then solving for ##v(t)## via an integration is not necessary. You can, if you want. Like I said. Its not that equation you've written out above. That is for linear drag models.
there are other Vt equations as well i could probably use.
now to answer your question, i thought Vt would be in my data. but maybe its not since its not completely free fall. If it were free fall, i would expect to see acceleration go to 0 at some point when the object has stopped accelerating and velocity is now constant (not increasing)
 
  • #138
second, i noticed some of my Beta values are negative. technically they should not be negative at all because B=(Cd)(area)(rho)(0.5)
 
  • #139
LT72884 said:
there are other Vt equations as well i could probably use.
now to answer your question, i thought Vt would be in my data. but maybe its not since its not completely free fall. If it were free fall, i would expect to see acceleration go to 0 at some point when the object has stopped accelerating and velocity is now constant (not increasing)
Correct. It wold be in there if you dropped you rocket from 20k ft, but you launched it to 20k ft , and ejected a parachute.
 
  • Like
Likes   Reactions: LT72884
  • #140
LT72884 said:
second, i noticed some of my Beta values are negative. technically they should not be negative at all because B=(Cd)(area)(rho)(0.5)
Also correct, the β values fluctuate around because of the instrument you used. This is the difference between Accuracy and precision. If you want both in an instrument you usually have to pay 💰. If you want accuracy,precision, and range 💰 💰.The hope in using the average values was that the “truth” was somewhere in the middle.
 
Last edited:
  • Like
Likes   Reactions: LT72884
  • #141
erobz said:
Also correct, the β values fluctuate around because of the instrument you used. This is the difference between Accuracy and precision. If you want both in an instrument you usually have to pay 💰. The hope in using the average values was that the “truth” was somewhere in the middle.
ok, thats what i thought. I told that to my professor and he didnt have time to think about my response during the team meeting and he looked confused haha, but i re-assured him that a $80 sensor may not be the most accurate and precise.

the "truth" being the consistent beta values that give me consistent Cd's right?

thanks
 
  • Like
Likes   Reactions: erobz
  • #142
LT72884 said:
ok, thats what i thought. I told that to my professor and he didnt have time to think about my response during the team meeting and he looked confused haha, but i re-assured him that a $80 sensor may not be the most accurate and precise.

the "truth" being the consistent beta values that give me consistent Cd's right?

thanks
Correct.

So are you ready to write this last equation and find terminal velocity yet?
 
  • Like
Likes   Reactions: LT72884
  • #143
erobz said:
Correct.

So are you ready to write this last equation and find terminal velocity yet?
i think so haha. I just got home from my 3 hour train ride from school.

Which equation should i start with? or is it a whole new equation you have in mind?

thanks
 
  • #144
LT72884 said:
so what is happening at 200m/s with this graph? thats where the system settles too. Is this terminal velocity?

No, that's just where you're going fast enough to have a decent amount of drag-induced acceleration, giving you fairly clean data. Cd should be (largely) independent of speed in the subsonic regime for a rocket-shaped object, and that's just where your data is good enough to observe that.

(For an example of what much cleaner drag data looks like for a rocket, here is an actual measured drag profile from a friend of mine).
LT72884 said:
I am not sure if it is or not because using the Vt calculation using my 0.62 Cd, density, etc, i get that Vt is close to 600m/s
View attachment 323073

thanks
The biggest problem with that is that 600m/s is well supersonic, and thus your real terminal velocity would be lower thanks to the drag rise that occurs at mach (as seen in my sample data above). I'd also note that your very high sectional density is actually making your data a lot muddier - since you're limited by accelerometer resolution, you'd get much better data with a rocket with higher drag relative to weight, but obviously that goes against the general design goals here.

Also, I'm curious what motor you used here, since your frontal area makes this seem like a 54mm MD rocket, and it's not exactly common to get to 20,000 feet on a 54mm motor.
 
  • Like
Likes   Reactions: LT72884 and erobz
  • #145
LT72884 said:
i think so haha. I just got home from my 3 hour train ride from school.

Which equation should i start with? or is it a whole new equation you have in mind?

thanks
Newton’s 2nd Law for the rocket in free fall.
 
  • Like
Likes   Reactions: LT72884
  • #146
cjl said:
No, that's just where you're going fast enough to have a decent amount of drag-induced acceleration, giving you fairly clean data. Cd should be (largely) independent of speed in the subsonic regime for a rocket-shaped object, and that's just where your data is good enough to observe that.

(For an example of what much cleaner drag data looks like for a rocket, here is an actual measured drag profile from a friend of mine).
The biggest problem with that is that 600m/s is well supersonic, and thus your real terminal velocity would be lower thanks to the drag rise that occurs at mach (as seen in my sample data above). I'd also note that your very high sectional density is actually making your data a lot muddier - since you're limited by accelerometer resolution, you'd get much better data with a rocket with higher drag relative to weight, but obviously that goes against the general design goals here.

Also, I'm curious what motor you used here, since your frontal area makes this seem like a 54mm MD rocket, and it's not exactly common to get to 20,000 feet on a 54mm motor.
My friend (someone from the rocket forums) used an L1030 motor.

You are correct that it is a 54mm rocket.
Ok, for the Cd and 200m/s that makes sense. I was thinking it was either that or vt. I have loved every step of this project because i have learned so much from you guys.
1677776059890.png
 
Last edited:
  • #147
erobz said:
Newton’s 2nd Law for the rocket in free fall.
well, no time like the present. Lets give it a go.
ok, we know that F=ma
and in free fall, a=0
so i would have 0=mg-kvt where kvt or kv is pointing up on a FBD and mg is down
but before velocity is terminal, so just kv we would have
ma=mg-kv
a=dv/dt
m(dv/dt)=mg-kv
i can separate and solve the integration if needs be?
 
  • #148
LT72884 said:
well, no time like the present. Lets give it a go.
ok, we know that F=ma
and in free fall, a=0
so i would have 0=mg-kvt where kvt or kv is pointing up on a FBD and mg is down
but before velocity is terminal, so just kv we would have
ma=mg-kv
a=dv/dt
m(dv/dt)=mg-kv
i can separate and solve the integration if needs be?
where did you get ##kv##? Do you not remember the whole thing was about quadratic drag?
 
  • Like
Likes   Reactions: LT72884
  • #149
erobz said:
where did you get ##kv##? Do you not remember the whole thing was about quadratic drag?
just from a basic FBD. so technically it should be kv^2 or the Bv^2.. i did forget about the quadratic drag haha
1677791342086.png
 
  • Like
Likes   Reactions: erobz
  • #150
Good, so rewrite it. After you have done that set the acceleration to 0, and solve the resulting equation.
 
  • Like
Likes   Reactions: LT72884

Similar threads

  • · Replies 17 ·
Replies
17
Views
4K
  • · Replies 17 ·
Replies
17
Views
3K
  • · Replies 4 ·
Replies
4
Views
6K
  • · Replies 8 ·
Replies
8
Views
2K
  • · Replies 5 ·
Replies
5
Views
2K
  • · Replies 63 ·
3
Replies
63
Views
5K
  • · Replies 8 ·
Replies
8
Views
5K
  • · Replies 7 ·
Replies
7
Views
1K
  • · Replies 1 ·
Replies
1
Views
1K
  • · Replies 5 ·
Replies
5
Views
4K