Finding the terminal velocity of a model rocket from a list of velocities

AI Thread Summary
The discussion revolves around analyzing rocket data from a 20,000-foot launch to calculate terminal velocity and the drag coefficient. The user has time, altitude, and velocity data but struggles to graph the velocities effectively to identify terminal velocity. Suggestions include using Excel to calculate velocity as a function of height and focusing on the data from burnout to apogee, as drag coefficients differ during ascent and descent. There is a consensus that while calculating terminal velocity during coasting is challenging, it may be possible to estimate an upper bound for free fall terminal velocity. The user aims to validate the drag coefficient, which is typically around 0.75 but varies with different rocket designs.
  • #101
LT72884 said:
B= (Cd)(Area)(rho)(0.5)
Beta is all the constants. From here i just plug in what i have and get the Cd. Bellow is the plot of beta.

View attachment 323057
Yeah, thats noise. Just do scatter plot, no line.
 
Physics news on Phys.org
  • #102
erobz said:
Yeah, thats noise. Just do scatter plot, no line.
that is a scatter plot. Just connected with a line is all. if i remove the line, its the same mess haha

1677700711721.png
 
  • #103
LT72884 said:
that is a scatter plot. Just connected with a line is all. if i remove the line, its the same mess haha

View attachment 323058
How about some axis and scale?
 
  • #104
erobz said:
How about some axis and scale?
y axis is values where beta falls, x axis is the cell number. I have cells 2-39 selected
1677701533230.png
 
  • #105
even plotted against velocity as the x axis or even as a data set, its still looks scattered
 
  • #106
LT72884 said:
even plotted against velocity as the x axis or even as a data set, its still looks scattered
You are supposed to be plotting ##\beta## vs ##v_{avg}##? That is ##\beta## vs time; It's not really as useful. The purpose of this is to determine if ##\beta## depends on the velocity "##v_{avg}##"
 
  • #107
erobz said:
You are supposed to be plotting ##\beta## vs ##v_{avg}##? That is ##\beta## vs time; It's not really useful. The purpose of this is to determine if ##\beta## depends on the velocity "##v_{avg}##"
correct, and when i select that data, the velocity is a linear function with negative slope, and B is linear with 0 slope.
So somewhere, either excel is trying to be "smart" and adjust the data or i have selected the wrong data haha, which is possible
1677702651811.png
 
  • #108
LT72884 said:
correct, and when i select that data, the velocity is a linear function with negative slope, and B is linear with 0 slope.
So somewhere, either excel is trying to be "smart" and adjust the data or i have selected the wrong data haha, which is possible
View attachment 323060
You've plotted ##v_{avg}## vs time as a separate series. Delete the chart. Put in a blank one and right chart area - click "select data"

##v_{avg}## is the ##x## values
##\beta## is the ##y## values
 
  • #109
erobz said:
You've plotted ##v_{avg}## vs time as a separate series. Delete the chart. Put in a blank one and right chart area - click "select data"

##v_{avg}## is the ##x## values
##\beta## is the ##y## values
then what will the plotted data be? Im not sure i follow, but i will change the axis to match what you have said.
 
  • #110
i get the exact same thing
1677703296066.png
 
  • #111
LT72884 said:
then what will the plotted data be? Im not sure i follow, but i will change the axis to match what you have said.
It will be ##\beta## vs ##v_{avg}##
 
  • #112
erobz said:
It will be ##\beta## vs ##v_{avg}##
i get the exact same thing as post 104
1677703438400.png
 
  • #113
LT72884 said:
i get the exact same thing as post 104
I don't understand why there are so little a number of points?

This is what it should look like:

1677703454847.png
 
  • #114
erobz said:
I don't understand why there are so little a number of points?

This is what it should look like:

View attachment 323063
me niether. Let me close excel and refresh my RAM.. MAYBE some stupid glitch. I will be back shortly
 
  • #115
yup, something is not right. I selected all the average velocities as X and Beta as Y and this is my plot

1677703616590.png
 
  • #116
LT72884 said:
yup, something is not right. I selected all the average velocities as X and Beta as Y and this is my plot

View attachment 323064
Thats because of those data points that are near -30,000! Just chop the data off below 20 m/s.
 
  • #117
erobz said:
Thats because of those data points that are near -30,000! Just chop the data off below 20 m/s.
hmm, its better but not the same. i made sure no crazy values were in the mix either.
1677703970120.png
 
  • #118
LT72884 said:
hmm, its better but not the same. i made sure no crazy values were in the mix either.
View attachment 323065
Chop it off at 50 m/s
 
  • #119
i will keep chopping data back until it either changes or i find out of a wrong calculation

EDIT: i just saw your post stating the same thing as me.
 
  • #120
At 50m/s.
1677704341928.png

At 55m/s a drastic change
1677704401916.png
 
  • #121
sorry it has taken so long. I REALLY REALLY REALLY APRECIATE your mass amounts of PAITENCE with me. I am really good at book work and homework, but real world stuff gets to me and it makes me sad and nervous for my future carer.
 
  • #122
this reminds me of slope field diagrams in a way, im guessing where the lin flattens out is terminal velocity? not sure that is correct thinking on my end because based on a terminal V calculator online, i get 598m/s based on the same numbers i used. I am probably jumping ahead

EDIT, i added a linear trend line
 
  • #123
LT72884 said:
sorry it has taken so long. I REALLY REALLY REALLY APRECIATE your mass amounts of PAITENCE with me. I am really good at book work and homework, but real world stuff gets to me and it makes me sad and nervous for my future carer.
You are going to make mistakes, and you'll learn. Get ready to swallow your pride. Thats probably universal for any young engineer.
 
  • #124
LT72884 said:
At 50m/s.
View attachment 323066
At 55m/s a drastic change
View attachment 323067
This is why scale is really important. How large are these fluctuations when you step back and examine it. You are taking measurements with some sensor, that has some error. You aren't going to get perfection. How much does the average ##\beta## change from 50 -100 , vs 100- 150, vs 150-200? How much is the ##C_d## based on the average for each range?
 
Last edited:
  • #125
erobz said:
You are going to make mistakes, and you'll learn. Get ready to swallow your pride. Thats probably universal for any young engineer.
I agree about the pride. That is why im REALLY grateful that you showed me ALL the steps. I do not expect that from everyone or anyone, and when i have no single clue what i am doing, its so nice to see an example ALL the way through. That is how i learn. step by step and examining each section.
Now that we have this graph with a trend line, what is the next step in determining the terminal velocity?
 
  • #126
erobz said:
This is why scale is really important. How large are these fluctuations when you step back and examine it. You are taking measurements with some sensor, that has some error. You aren't going to get perfection. How much does the average ##\beta## change from 50 -100 , vs 100- 150, vs 150-200? How much is the ##C_d## based on the average for each range?
beta changes alot from 50 to 100m/s but then the system settles around 200m/s. The Drag Coef seems to be an average of 0.6 from 150 to 200m/s.
 
  • #127
LT72884 said:
At 50m/s.
View attachment 323066
At 55m/s a drastic change
View attachment 323067
That looks like what I'd expect. In my experience (having done similar Cd estimation on some of my rockets), you get pretty noisy data but the higher speed average value ends up being pretty reasonable (and the 0.6 that you found does appear reasonable to me).

The multiple discrete lines of data points at lower speed is also expected - that's due to accelerometer resolution and the fact that at low speeds even with a fairly high Cd, acceleration is low (and thus measurement accuracy and precision are also low unless you had a much fancier and more expensive accelerometer).
 
  • Like
Likes erobz, LT72884 and berkeman
  • #128
cjl said:
That looks like what I'd expect. In my experience (having done similar Cd estimation on some of my rockets), you get pretty noisy data but the higher speed average value ends up being pretty reasonable (and the 0.6 that you found does appear reasonable to me).

The multiple discrete lines of data points at lower speed is also expected - that's due to accelerometer resolution and the fact that at low speeds even with a fairly high Cd, acceleration is low (and thus measurement accuracy and precision are also low unless you had a much fancier and more expensive accelerometer).
so what is happening at 200m/s with this graph? thats where the system settles too. Is this terminal velocity?
I am not sure if it is or not because using the Vt calculation using my 0.62 Cd, density, etc, i get that Vt is close to 600m/s
1677715964280.png


thanks
 
  • #129
LT72884 said:
so what is happening at 200m/s with this graph? thats where the system settles too. Is this terminal velocity?
I am not sure if it is or not because using the Vt calculation using my 0.62 Cd, density, etc, i get that Vt is close to 600m/s
View attachment 323073

thanks
The graph finds ##\beta##. Now, assuming that it is a constant, to find the terminal velocity you have solve the eq in post #40.

To do that: What is the acceleration of the rocket at terminal velocity?

Note: This requires no integration. fully solving the ODE in general for velocity as a function of time is not necessary to determine ##v_{term}##
 
Last edited:
  • #130
erobz said:
The graph finds ##\beta##. Now, assuming that it is a constant, to find the terminal velocity you have solve the eq in post #40.

To do that: What is the acceleration of the rocket at terminal velocity?

Note: This requires no integration. fully solving the ODE in general for velocity as a function of time is not necessary to determine ##v_{term}##
"To do that: What is the acceleration of the rocket at terminal velocity?" Well, my thinking is either 0 or 9.81 since terminal velocity is where Fd and Fg equalize. So probably 0 then
 
  • #131
LT72884 said:
"To do that: What is the acceleration of the rocket at terminal velocity?" Well, my thinking is either 0 or 9.81 since terminal velocity is where Fd and Fg equalize. So probably 0 then
Actually, I was being a bit hasty. You need to write the DE for the falling rocket first, and then do what I said.
 
  • #132
erobz said:
Actually, I was being a bit hasty. You need to write the DE for the falling rocket first, and then do what I said.
ok, cool. I have noticed i do not have 0 in my data for acceleration so im guessing its when acceleration is a differnt value.

post #40 is that not the DE?
 
  • #133
LT72884 said:
post #40 is that not the DE?
Its similar. But you have to think about the directions of the forces when its falling.
 
  • #134
LT72884 said:
ok, cool. I have noticed i do not have 0 in my data for acceleration so im guessing its when acceleration is a differnt value.
You are not going to find terminal velocity in your data. Why do you think you would?
 
  • #135
erobz said:
You are not going to find terminal velocity in your data. Why do you think you would?
somewhere along the line we were discussing finding the terminal velocity. We discussed how its exponential and if i integrate the equation we have, i do indeed get the terminal velocity equation inside. Somehow i thought we were finding both the Cd and terminal velocity thats why haha. but maybe somewhere we changed our minds because hte math gets to crazy. You also said something about how you think Vt is around 100m/s or so...

wait, i might be taking your question to literal...
1677720932609.png
 
  • #136
LT72884 said:
somewhere along the line we were discussing finding the terminal velocity. We discussed how its exponential and if i integrate the equation we have, i do indeed get the terminal velocity equation inside. Somehow i thought we were finding both the Cd and terminal velocity thats why haha. but maybe somewhere we changed our minds because hte math gets to crazy
View attachment 323075
Firstly, that is a different equation altogether. If you want to solve for the velocity as a function of time you will have to solve the new differential equation (that you haven't yet derived like I asked)

But yes. Minds were changed along the way. You will find that to be a very real part of real world problem solving. You dive in with some idea, and many times the problem or question itself will evolve as you begin to untangle things. Nothing in real world is "solve this using a,b,c,d, assuming d,e,f,g". It's quite literally...Here is this problem...we think, you figure out the rest! I had nothing more than an approach idea wasn't immediately sure what the exact answer was, or how the dots would connect. I started down a road that would have been a real back breaker...and then I had a moment of "clarity" along the way...a "duh" moment if you will.

If you are just after terminal velocity, then solving for ##v(t)## via an integration is not necessary. You can, if you want. Like I said. Its not that equation you've written out above. That is for linear drag models.
 
Last edited:
  • #137
erobz said:
Firstly, that is a different equation altogether. If you want to solve for the velocity as a function of time you will have to solve the new differential equation (that you haven't yet derived like I asked)

But yes. Minds were changed along the way. You will find that to be a very real part of real world problem solving. You dive in with some idea, and many times the problem or question itself will evolve as you begin to untangle things. Nothing in real world is "solve this using a,b,c,d, assuming d,e,f,g". It's quite literally...Here is this problem...we think, you figure out the rest! I had nothing more than an approach idea wasn't immediately sure what the exact answer was, or how the dots would connect. I started down a road that would have been a real back breaker...and then I had a moment of "clarity" along the way...a "duh" moment if you will.

If you are just after terminal velocity, then solving for ##v(t)## via an integration is not necessary. You can, if you want. Like I said. Its not that equation you've written out above. That is for linear drag models.
there are other Vt equations as well i could probably use.
now to answer your question, i thought Vt would be in my data. but maybe its not since its not completely free fall. If it were free fall, i would expect to see acceleration go to 0 at some point when the object has stopped accelerating and velocity is now constant (not increasing)
 
  • #138
second, i noticed some of my Beta values are negative. technically they should not be negative at all because B=(Cd)(area)(rho)(0.5)
 
  • #139
LT72884 said:
there are other Vt equations as well i could probably use.
now to answer your question, i thought Vt would be in my data. but maybe its not since its not completely free fall. If it were free fall, i would expect to see acceleration go to 0 at some point when the object has stopped accelerating and velocity is now constant (not increasing)
Correct. It wold be in there if you dropped you rocket from 20k ft, but you launched it to 20k ft , and ejected a parachute.
 
  • #140
LT72884 said:
second, i noticed some of my Beta values are negative. technically they should not be negative at all because B=(Cd)(area)(rho)(0.5)
Also correct, the β values fluctuate around because of the instrument you used. This is the difference between Accuracy and precision. If you want both in an instrument you usually have to pay 💰. If you want accuracy,precision, and range 💰 💰.The hope in using the average values was that the “truth” was somewhere in the middle.
 
Last edited:
  • #141
erobz said:
Also correct, the β values fluctuate around because of the instrument you used. This is the difference between Accuracy and precision. If you want both in an instrument you usually have to pay 💰. The hope in using the average values was that the “truth” was somewhere in the middle.
ok, thats what i thought. I told that to my professor and he didnt have time to think about my response during the team meeting and he looked confused haha, but i re-assured him that a $80 sensor may not be the most accurate and precise.

the "truth" being the consistent beta values that give me consistent Cd's right?

thanks
 
  • #142
LT72884 said:
ok, thats what i thought. I told that to my professor and he didnt have time to think about my response during the team meeting and he looked confused haha, but i re-assured him that a $80 sensor may not be the most accurate and precise.

the "truth" being the consistent beta values that give me consistent Cd's right?

thanks
Correct.

So are you ready to write this last equation and find terminal velocity yet?
 
  • #143
erobz said:
Correct.

So are you ready to write this last equation and find terminal velocity yet?
i think so haha. I just got home from my 3 hour train ride from school.

Which equation should i start with? or is it a whole new equation you have in mind?

thanks
 
  • #144
LT72884 said:
so what is happening at 200m/s with this graph? thats where the system settles too. Is this terminal velocity?

No, that's just where you're going fast enough to have a decent amount of drag-induced acceleration, giving you fairly clean data. Cd should be (largely) independent of speed in the subsonic regime for a rocket-shaped object, and that's just where your data is good enough to observe that.

(For an example of what much cleaner drag data looks like for a rocket, here is an actual measured drag profile from a friend of mine).
LT72884 said:
I am not sure if it is or not because using the Vt calculation using my 0.62 Cd, density, etc, i get that Vt is close to 600m/s
View attachment 323073

thanks
The biggest problem with that is that 600m/s is well supersonic, and thus your real terminal velocity would be lower thanks to the drag rise that occurs at mach (as seen in my sample data above). I'd also note that your very high sectional density is actually making your data a lot muddier - since you're limited by accelerometer resolution, you'd get much better data with a rocket with higher drag relative to weight, but obviously that goes against the general design goals here.

Also, I'm curious what motor you used here, since your frontal area makes this seem like a 54mm MD rocket, and it's not exactly common to get to 20,000 feet on a 54mm motor.
 
  • Like
Likes LT72884 and erobz
  • #145
LT72884 said:
i think so haha. I just got home from my 3 hour train ride from school.

Which equation should i start with? or is it a whole new equation you have in mind?

thanks
Newton’s 2nd Law for the rocket in free fall.
 
  • #146
cjl said:
No, that's just where you're going fast enough to have a decent amount of drag-induced acceleration, giving you fairly clean data. Cd should be (largely) independent of speed in the subsonic regime for a rocket-shaped object, and that's just where your data is good enough to observe that.

(For an example of what much cleaner drag data looks like for a rocket, here is an actual measured drag profile from a friend of mine).
The biggest problem with that is that 600m/s is well supersonic, and thus your real terminal velocity would be lower thanks to the drag rise that occurs at mach (as seen in my sample data above). I'd also note that your very high sectional density is actually making your data a lot muddier - since you're limited by accelerometer resolution, you'd get much better data with a rocket with higher drag relative to weight, but obviously that goes against the general design goals here.

Also, I'm curious what motor you used here, since your frontal area makes this seem like a 54mm MD rocket, and it's not exactly common to get to 20,000 feet on a 54mm motor.
My friend (someone from the rocket forums) used an L1030 motor.

You are correct that it is a 54mm rocket.
Ok, for the Cd and 200m/s that makes sense. I was thinking it was either that or vt. I have loved every step of this project because i have learned so much from you guys.
1677776059890.png
 
Last edited:
  • #147
erobz said:
Newton’s 2nd Law for the rocket in free fall.
well, no time like the present. Lets give it a go.
ok, we know that F=ma
and in free fall, a=0
so i would have 0=mg-kvt where kvt or kv is pointing up on a FBD and mg is down
but before velocity is terminal, so just kv we would have
ma=mg-kv
a=dv/dt
m(dv/dt)=mg-kv
i can seperate and solve the integration if needs be?
 
  • #148
LT72884 said:
well, no time like the present. Lets give it a go.
ok, we know that F=ma
and in free fall, a=0
so i would have 0=mg-kvt where kvt or kv is pointing up on a FBD and mg is down
but before velocity is terminal, so just kv we would have
ma=mg-kv
a=dv/dt
m(dv/dt)=mg-kv
i can seperate and solve the integration if needs be?
where did you get ##kv##? Do you not remember the whole thing was about quadratic drag?
 
  • #149
erobz said:
where did you get ##kv##? Do you not remember the whole thing was about quadratic drag?
just from a basic FBD. so technically it should be kv^2 or the Bv^2.. i did forget about the quadratic drag haha
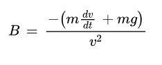
1677791342086.png
 
  • #150
Good, so rewrite it. After you have done that set the acceleration to 0, and solve the resulting equation.
 

Similar threads

Replies
17
Views
3K
Replies
17
Views
4K
Replies
7
Views
931
Replies
1
Views
1K
Replies
25
Views
4K
Replies
47
Views
3K
Replies
4
Views
2K
Back
Top