Fourier sine and cosine transforms of Heaviside function

Click For Summary
SUMMARY

The discussion centers on the Fourier sine and cosine transforms of the Heaviside unit step function. The participant struggles with undefined limits as x approaches infinity when applying the transforms directly. Key insights include using theorems related to the Fourier transform of derivatives and introducing a convergence factor, e-λx, to ensure integrals converge before taking the limit as λ approaches 0+. These strategies provide a structured approach to resolving the problem effectively.

PREREQUISITES
  • Understanding of Fourier transforms, specifically the Fourier sine and cosine transforms.
  • Familiarity with the Heaviside unit step function and its properties.
  • Knowledge of convergence factors in integral calculus.
  • Basic concepts of distribution theory, particularly the delta function.
NEXT STEPS
  • Study theorems related to the Fourier transform of derivatives.
  • Research the application of convergence factors in Fourier analysis.
  • Learn about the shift theorem in Fourier transforms.
  • Explore the relationship between the Heaviside function and the delta function in distribution theory.
USEFUL FOR

Mathematicians, physicists, and engineering students dealing with Fourier analysis, particularly those working with step functions and transform techniques.

ashah99
Messages
55
Reaction score
2
Homework Statement
Problem statement is given below.
Relevant Equations
Relevant equation used are given below.
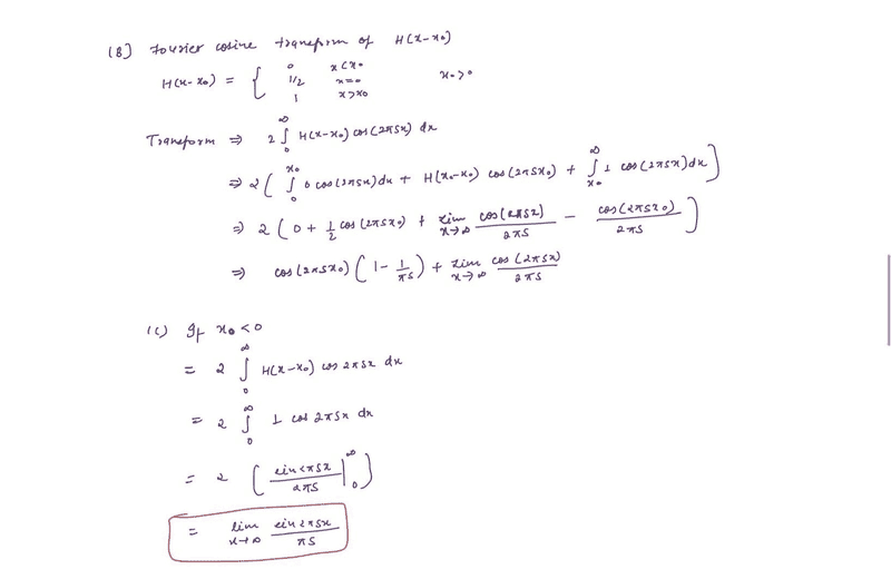
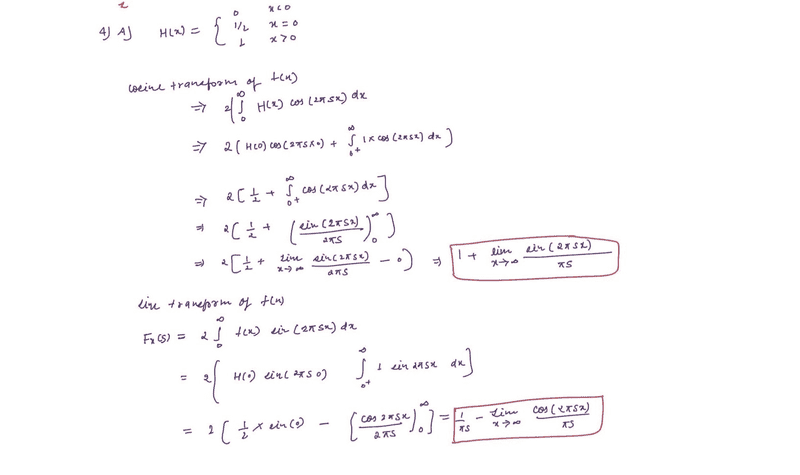
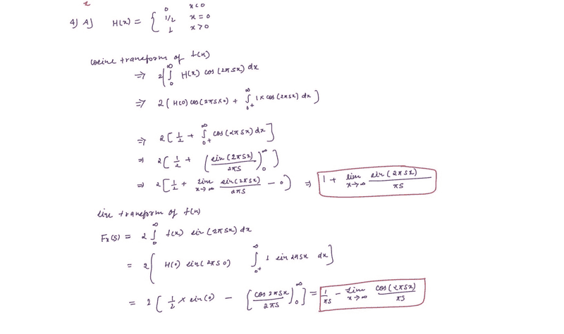
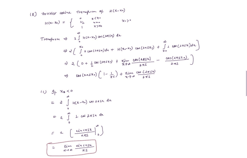
Hi, I am really struggling with the following problem on the Fourier sine and cosine transforms of the Heaviside unit step function. The definitions I have been using are provided below. I tried each part of the problem, but I'm only left in terms of limits as x -> infinity of sin or cos function, which are undefined. How do I approach this? Am I totally off track and missing some key properties of these transforms? Sorry for the poor formatting...any help appreciated.

Problem:
1664468467400.png

Attempt

1664468499323.png

1664468524407.png
 
Physics news on Phys.org
ashah99 said:
Homework Statement:: Problem statement is given below.
Relevant Equations:: Relevant equation used are given below.

Hi, I am really struggling with the following problem on the Fourier sine and cosine transforms of the Heaviside unit step function. The definitions I have been using are provided below. I tried each part of the problem, but I'm only left in terms of limits as x -> infinity of sin or cos function, which are undefined. How do I approach this? Am I totally off track and missing some key properties of these transforms? Sorry for the poor formatting...any help appreciated.

Problem:
View attachment 314809
Attempt

View attachment 314810
View attachment 314811
I would try using theorems rather than just brute-forcing from the definition.
The derivative of a step-function from -1/2 to +1/2 is a delta.
There's a theorem for the FT of a derivative.
Use the shift- theorem to move between 0 and x0.
Maybe work with the full FT and then extract the Cos and Sine-transform from the result.

Just a few ideas. I haven't tried it.
 
ashah99 said:
I tried each part of the problem, but I'm only left in terms of limits as x -> infinity of sin or cos function, which are undefined. How do I approach this?
To get the integrals to converge, you can introduce a convergence factor ##e^{-\lambda x}## and then take the limit as ##\lambda \to 0^+## after you integrate.
 

Similar threads

  • · Replies 3 ·
Replies
3
Views
6K
  • · Replies 1 ·
Replies
1
Views
2K
  • · Replies 5 ·
Replies
5
Views
2K
  • · Replies 1 ·
Replies
1
Views
2K
  • · Replies 1 ·
Replies
1
Views
7K
  • · Replies 139 ·
5
Replies
139
Views
12K
Replies
8
Views
2K
  • · Replies 6 ·
Replies
6
Views
2K
  • · Replies 8 ·
Replies
8
Views
3K
Replies
2
Views
5K