Fraction of occupied states (Fermi-Dirac distribution + DOS)

Click For Summary
SUMMARY

The discussion focuses on the Fermi-Dirac distribution and density of states (DOS) in semiconductors, specifically using Silicon as an example. The Fermi level is positioned 0.25 eV below the conduction band edge, and the participants aim to compute the total number of states in the energy range from Ec to Ec + 2kBT, as well as the percentage of these states that are occupied by electrons. The integration of the density of states function gc(E) is necessary for calculating the total number of states, while the Fermi-Dirac distribution function f(E) is used to determine the occupancy of these states.

PREREQUISITES
  • Understanding of Fermi-Dirac distribution
  • Knowledge of density of states (DOS) in semiconductors
  • Familiarity with semiconductor physics, particularly Silicon
  • Basic concepts of statistical mechanics
NEXT STEPS
  • Learn how to integrate the density of states function gc(E) for different energy ranges
  • Study the application of the Fermi-Dirac distribution function f(E) in semiconductor physics
  • Explore the effective mass concept in semiconductors, specifically for Silicon
  • Investigate the relationship between temperature and carrier concentration in semiconductors
USEFUL FOR

Students and professionals in semiconductor physics, electrical engineers, and researchers focusing on electronic properties of materials will benefit from this discussion.

su3liminal1
Messages
1
Reaction score
0
Homework Statement
Find the percentage of these states that have electrons in them, assuming the number of electrons above Ec+2kT is negligible.
Relevant Equations
-
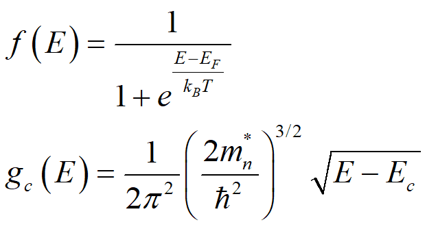
I just want to clear some confusion I am having with the Fermi-Dirac distribution & density of states (DOS) of a semiconductor, which are given by

1.png


Say we have a piece of Silicon in equilibrium and its Fermi level lies 0.25 eV below the conduction band edge, i.e. Ec - EF = 0.25 eV. Let us say we want to compute two things:
(1) Total number of states in the range Ec ≤ E ≤ E+ 2kBT.
(2) The percentage of these states that have electrons in them, assuming the number of electrons above Ec+2kBT is negligible.

For (1), it is straight forward: we just integrate the density of states function in the conduction band, gc(E) over the indicated range:
1568765673022.png

At room temperature and using an effective mass of silicon is, say, mn*=1.09m0. This yields
1568765694868.png


For (2), I know that the Fermi-Dirac distribution in this context represents the the probability of an electron occupying a state at energy E, which can also be interpreted as the ratio of filled state to total states at the energy. But I am really not sure what do here. Do I compute the difference of Fermi-Dirac distributions in that range, or do I integrate, or both are wrong?
 

Attachments

  • 2.png
    2.png
    1.5 KB · Views: 306
  • 3.png
    3.png
    1.6 KB · Views: 287
Physics news on Phys.org
Welcome to PF.

From part (1) you know the number of states (per m3) in the energy range ##E_c## to ##E_c + 2k_BT##. I think you can answer part (2) if you know how many electrons (per m3) have energies in this range.

Suppose you consider a small range of energies ##E## to ##E+dE##. Can you see how to get the number of electrons per m3 that have energies in this range? This will involve both ##g_c(E)## and ##f(E)##.
 

Similar threads

  • · Replies 5 ·
Replies
5
Views
3K
  • · Replies 1 ·
Replies
1
Views
2K
  • · Replies 1 ·
Replies
1
Views
4K
  • · Replies 1 ·
Replies
1
Views
2K
Replies
1
Views
2K
  • · Replies 3 ·
Replies
3
Views
2K
  • · Replies 8 ·
Replies
8
Views
2K
  • · Replies 1 ·
Replies
1
Views
2K
  • · Replies 6 ·
Replies
6
Views
4K
  • · Replies 1 ·
Replies
1
Views
4K