Gravity Assist-Elliptical Trajectories

  • Context: Graduate 
  • Thread starter Thread starter rpthomps
  • Start date Start date
  • Tags Tags
    Gravity Trajectories
Click For Summary
SUMMARY

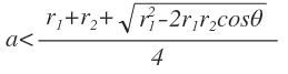
The discussion focuses on the mathematical relationship in the JPL technical report regarding gravity assists and elliptical trajectories. A critical error in the equation is identified, specifically the omission of the term (r2)² within the square root. This missing term is essential for accurately applying the triangular inequality, which states that r1' and r2' must exceed the distance between points P1 and P2, calculable through r1, r2, and the angle θ using the law of cosines.

PREREQUISITES
  • Understanding of gravitational assists in orbital mechanics
  • Familiarity with elliptical trajectories and their properties
  • Knowledge of the law of cosines in geometry
  • Basic proficiency in mathematical equations and algebra
NEXT STEPS
  • Study the JPL technical report on gravity assists for deeper insights
  • Learn about the application of the law of cosines in orbital mechanics
  • Research the mathematical modeling of elliptical trajectories
  • Explore advanced concepts in gravitational physics and trajectory optimization
USEFUL FOR

Aerospace engineers, physicists, and students studying orbital mechanics who seek to understand the intricacies of gravity assists and their mathematical foundations.

rpthomps
Messages
182
Reaction score
19
Good evening,

I am working my way through a JPL technical report I found online at

link

Specifically, I am at page 17 which looks like

1tM3dJ0.png


and I am trying to understand the relation

G7cVWTH.png


I basically, don't understand where this relationship comes from and why it is necessary.

Any help would be appreciated.

Ryan
 
Physics news on Phys.org
Well, there is a mistake in that equation. There should be another term inside the square root. The missing term is (r2)2. That triangular inequality simply expresses that r1' and r2' must add to something larger than the distance between P1 and P2 which can be found from r1, r2, and θ by use of the law of cosines.
 
Last edited:
  • Like
Likes   Reactions: 1 person
Thanks Dauto
 

Similar threads

  • · Replies 1 ·
Replies
1
Views
2K
  • · Replies 3 ·
Replies
3
Views
2K
  • · Replies 2 ·
Replies
2
Views
3K
  • · Replies 11 ·
Replies
11
Views
3K
  • · Replies 22 ·
Replies
22
Views
2K
  • · Replies 11 ·
Replies
11
Views
3K
  • · Replies 3 ·
Replies
3
Views
2K
  • · Replies 8 ·
Replies
8
Views
3K
  • · Replies 7 ·
Replies
7
Views
7K
  • · Replies 11 ·
Replies
11
Views
2K