Green's Theorem: Evaluate & Sketch R

Click For Summary
SUMMARY

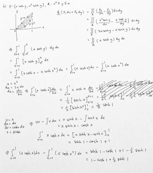
The discussion centers on the application of Green's Theorem to evaluate a specific integral and sketch the region R. The participant confirmed the correctness of their solution but expressed confusion regarding the numerical results involving hyperbolic functions such as sinh(1) and cosh(1). The conversation highlights the importance of accurately interpreting these functions in the context of Green's Theorem applications.

PREREQUISITES
  • Understanding of Green's Theorem in vector calculus
  • Familiarity with hyperbolic functions, specifically sinh and cosh
  • Basic skills in sketching regions in the Cartesian plane
  • Proficiency in evaluating double integrals
NEXT STEPS
  • Study the applications of Green's Theorem in various integral evaluations
  • Learn about hyperbolic functions and their properties
  • Practice sketching regions defined by inequalities in the Cartesian plane
  • Explore examples of double integrals involving Green's Theorem
USEFUL FOR

Students and educators in calculus, particularly those focusing on vector calculus and integral theorems, as well as anyone looking to deepen their understanding of hyperbolic functions in mathematical evaluations.

geft
Messages
144
Reaction score
0
Question: Evaluate using Green's Theorem and sketch R.

The question (excluding the sketch) and the attempted solution are on the attached image. I may have gotten the solution, but the numbers seem funny. Where did I go wrong?

9jCnX.jpg
 
Physics news on Phys.org
I don't see anything humorous in those numbers :-p

Your work is correct.
 
Well, it's just that I seldom get something like sinh 1 or cosh 1. Anyway, thanks! :biggrin:
 

Similar threads

Replies
3
Views
2K
  • · Replies 3 ·
Replies
3
Views
2K
  • · Replies 2 ·
Replies
2
Views
2K
Replies
28
Views
2K
  • · Replies 1 ·
Replies
1
Views
2K
  • · Replies 2 ·
Replies
2
Views
1K
  • · Replies 6 ·
Replies
6
Views
3K
Replies
1
Views
2K
  • · Replies 3 ·
Replies
3
Views
2K
  • · Replies 2 ·
Replies
2
Views
2K