Help in identifying why these two calculations have the same result?

  • Context: MHB 
  • Thread starter Thread starter BTH
  • Start date Start date
  • Tags Tags
    Calculations
Click For Summary
SUMMARY

The discussion revolves around a mathematical analysis of data collected from a group of 10 individuals tasked with eating at least one apple daily for five days. The researcher observed that the percentage of participants meeting their daily goal and the average number of apples consumed yielded identical results. This phenomenon occurs because both calculations involve summing the same values and dividing by the same total, specifically dividing by 10 for the percentage and summing decimal representations of the percentages. The conclusion highlights the equivalence of these two different calculation methods under specific conditions.

PREREQUISITES
  • Understanding of basic statistics, including percentages and averages.
  • Familiarity with data collection methodologies in experimental research.
  • Knowledge of mathematical operations such as summation and division.
  • Ability to interpret and analyze data sets effectively.
NEXT STEPS
  • Explore statistical analysis techniques using R or Python for data interpretation.
  • Learn about experimental design principles to enhance data collection methods.
  • Study the concept of sampling distributions and their impact on statistical results.
  • Investigate the implications of data representation and visualization in research findings.
USEFUL FOR

Researchers, data analysts, and students in mathematics or statistics who are interested in understanding the relationships between different statistical calculations and their implications in data analysis.

BTH
Messages
2
Reaction score
0
Hi All,

This may not be the correct sub-forum in which to post this question and probably a very simple question, so I apologize in advance. I was analyzing some data for a project and noticed I was getting the same result from different calculations on the data-set and am very curious as to why! I've restated the scenario in a simplified example and am hoping someone with more of a math background than me can provide the mathematical explanation.

Scenario: A group of 10 people are asked to attempt eating at least 1 apple each day for 5 days. At the end of 5 days, the researcher looks at the data to determine what percentage of the group met the goal each day, as well as the total number of apples eaten by each test subject over the 5 day period. When I sum the % of total test subjects who ate an apple each day and also average the total number of apples eaten over the week by all subjects, the results are the same. The calculated data is pasted below.

View attachment 7677
 

Attachments

  • Apple example.PNG
    Apple example.PNG
    7.2 KB · Views: 150
Physics news on Phys.org
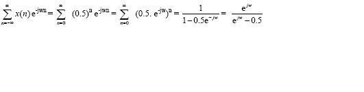
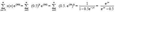
You're summing the second-last row and then dividing by 10. With the last row we note that percentages are actually in decimal form, i.e. divided by 100 (e.g. 90/100 = 9/10) and then these numbers are summed. Same operations, same numbers = same numbers, same operations.
 

Similar threads

  • · Replies 3 ·
Replies
3
Views
2K
  • · Replies 3 ·
Replies
3
Views
3K
  • · Replies 9 ·
Replies
9
Views
6K
  • · Replies 32 ·
2
Replies
32
Views
3K
  • · Replies 13 ·
Replies
13
Views
2K
  • · Replies 11 ·
Replies
11
Views
3K
  • · Replies 7 ·
Replies
7
Views
5K
  • · Replies 19 ·
Replies
19
Views
3K
  • · Replies 4 ·
Replies
4
Views
4K
  • · Replies 7 ·
Replies
7
Views
2K