How Do You Model and Simulate a Mass-Two Spring-Damper System?

  • Thread starter Thread starter ja5
  • Start date Start date
  • Tags Tags
    System
Click For Summary

Discussion Overview

The discussion revolves around modeling and simulating a mass-two spring-damper system, focusing on deriving equations and transfer functions necessary for simulation. Participants explore various approaches, including state space modeling and Laplace transforms, while addressing the complexities of the system's dynamics.

Discussion Character

  • Homework-related
  • Technical explanation
  • Debate/contested
  • Mathematical reasoning

Main Points Raised

  • One participant mentions needing an additional equation to create a state space model for the system.
  • Another suggests using Laplace transforms to model the system, indicating that they would find the velocities as functions of the input force.
  • There is a discussion about the effectiveness of state space modeling versus classical modeling, with some participants expressing limited experience with state space methods.
  • Participants discuss the process of block diagram reduction and the application of Mason's rule to derive transfer functions.
  • One participant expresses confusion about how to apply Mason's rule and the placement of variables in the block diagram.
  • There are differing opinions on the necessity of completing the block diagram before proceeding with the analysis.
  • Another participant critiques a proposed approach, stating that the system must be a second-order system due to oscillatory behavior and that assumptions about the mass must be reconsidered.
  • Questions arise regarding the definitions of variables such as x2 and the forces acting on the system.

Areas of Agreement / Disagreement

Participants do not reach a consensus, as there are multiple competing views on the modeling approach, the necessity of certain equations, and the interpretation of variables within the system.

Contextual Notes

Some participants express uncertainty about the definitions of variables and the completeness of the block diagram, indicating that assumptions may be missing or unclear. There is also mention of unresolved mathematical steps in deriving the necessary equations.

Physics news on Phys.org
MDS.jpg

I assume that F is the input to the system, and that you will have to find x1, x2 ( velocities? ) as a function of F.

If you are confident with Laplace transforms, I'd build a model by means of Laplace function blocks.
 
  • Like
Likes   Reactions: ja5
After I gotten this equation, I tryed to excrete x1, but I'm missing one equation to make a state space model.
I think I need to get matrix A 4x4 and I don't know how to get x2 double derivate when it doesn't exist, if you know what I mean.
 
ja5 said:
but I'm missing one equation to make a state space model.
I think that state state space is effective by multiple input/output systems, but you have a system with only one input ( F ), thus a classical model is more effective here.
( And, yes, I have to admit that I have only limited experience with state space ).
When using the classical model, you can actually "see" what you are doing. In a 4x4 matrix, a certain number just disappears in the amount of numbers.
 
So, I try with Laplace then?
 
ja5 said:
So, I try with Laplace then?
Yes, I recommend that.
Post a sketch of the ( classical ) model.
 
No, this is not made by function blocks, here is what I mean:
upload_2015-6-20_15-29-43.jpeg

You draw these blocks/loops and reduce them afterwards. For example the 4 blocks in lower left corner can be reduced to one block:

k2/s+c2

The loops can be reduced by Masons rule.

At last you will have the transfer functions: x1(s)/F(s) and x2(s)/F(s). For example you put on some step function: F(s) = 1/s, and you will find x1(s) and x2(s).
 
Last edited:
Alright, I know what you mean, but how will I draw a loop to apply mason rule, I get confused when I need to put x2
 
  • #10
ja5 said:
how will I draw a loop to apply mason rule
Say you have a closed loop (negative feed back).
Say that the forward path has the transfer function: A(s) and that the backward path has the transfer function: B(s), then Masons rule says that the transfer function for the loop as a whole =

A(s) / ( 1 + A(s)*B(s) ) . . . . ( It's easy to prove ).

If the feedback is positive, you simply change the "+" to a "-".
 
  • #11
Hesch said:
Say you have a closed loop (negative feed back).
Say that the forward path has the transfer function: A(s) and that the backward path has the transfer function: B(s), then Masons rule says that the transfer function for the loop as a whole =
A(s) / ( 1 + A(s)*B(s) ) . . . . ( It's easy to prove ).
If the feedback is positive, you simply change the "+" to a "-".

Perhaps not too important for solving this task - but for the sake of clarity I like to mention that the given formula for the closed-loop transfer function is known as Blacks formula; Mason`s rule is different from that.
Questions:
* What is x2? Input or output (according to your block diagram)?
* Where is c1 in the diagram?
 
  • #12
LvW said:
* What is x2? Input or output (according to your block diagram)?
* Where is c1 in the diagram?
x2 is the velocity(?)/position(?) in the diagram shown in #2. This diagram is just a copy from one of the links in #1. I don't know, I have assumed it's an output, and that F is the input.

c1 ( and k1 ) is coming up when the diagram is expanded in #8 to the right: ( "Finding x2" reference ).

The diagram in #8 has just not been finished ( something left for ja5 to do ).
 
Last edited:
  • #13
OK - so I wait until it will be finished. The procedure of block diagram reduction is a standard one and shouldn`t be a problem.
 
  • #14
LvW said:
The procedure of block diagram reduction is a standard one and shouldn`t be a problem.
No, maybe it should not, but it is.
 
  • #15
That`s why I said that I will wait - and then I can offer my help (if needed).
 
  • #17
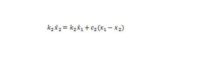
Capture.jpg

This is not right. By Laplace it could be written: k2*s*x2 = k2*s*x1 + c2(x1-x2) , and that's a 1. order system. A spring and a mass will oscillate which means that the system must be a 2. order system. You may not assume a mass (A), when it is not there.

In the (half) model in #8, you must complete the model. Then you can see what you are doing. Complete it and reduce it.

In #8 a force, F, is induced. Dividing this force by m you will get the acceleration of m: ( dx1/dt ). If you integrate this acceleration ( divide by s ) you will get x1.
The back-force ( as to F ) will be induced by:

1) by c2: Fback = x1*c2.
2) by spring: Fback = (x1/s)*k2 : Dividing x1 by s, you integrate velocity to position, thus Fback = Δposition * k2.

But in (2) the velocity is missing: Correctly it must be: Fback = ( (x1-x2)/s ) * k2.

The Fback is subtracted from F ( left sum block ) so that the resulting force, pushing m, is: F - Fback. ( Loop closed ).
 
Last edited:
  • #18
Can you draw me whole loop?
 
  • #19
ja5 said:
Can you draw me whole loop?
Something like this:
 

Attachments

  • #20
but what is F2?
 
  • #21
ja5 said:
but what is F2?
It's the force at x2.
 

Similar threads

Replies
13
Views
2K
  • · Replies 0 ·
Replies
0
Views
2K
Replies
4
Views
2K
  • · Replies 5 ·
Replies
5
Views
2K
Replies
1
Views
1K
  • · Replies 7 ·
Replies
7
Views
3K
  • · Replies 9 ·
Replies
9
Views
3K
  • · Replies 7 ·
Replies
7
Views
2K
Replies
5
Views
3K
  • · Replies 1 ·
Replies
1
Views
3K