How to Convert Rectangular Integrals to Polar Coordinates Correctly?

Click For Summary

Homework Help Overview

The discussion revolves around converting rectangular integrals to polar coordinates, specifically focusing on the integration limits and the geometric interpretation of the area involved. The original poster mentions a specific integral that is expected to yield π/16 as the answer, but they express confusion regarding the conversion process rather than the integration itself.

Discussion Character

  • Exploratory, Assumption checking, Problem interpretation

Approaches and Questions Raised

  • Participants discuss the determination of integration limits for the polar coordinates, questioning the original poster's choices and suggesting geometric interpretations to find the correct limits. There is an exploration of the relationship between the area to be integrated and the boundaries defined by the curves and lines involved.

Discussion Status

The conversation is ongoing, with participants providing insights into the geometric aspects of the problem and questioning the assumptions made about the integration limits. Some suggestions have been made regarding how to visualize the problem, but no consensus has been reached on the correct approach yet.

Contextual Notes

There are indications of potential confusion regarding the area to be integrated, particularly in relation to the rectangular shape and the circular arc involved. The original poster's interpretation of the area and the limits of integration is under scrutiny, with references to specific points and distances in the context of polar coordinates.

Corey Williams
Messages
5
Reaction score
0

Homework Statement


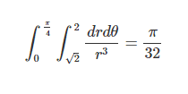
Trying to help a friend with a problem. We are supposed to solve the below using polar coordinates. The actual answer is supposed to be π/16. Solving the integral is not the issue, just converting it.
EKDTWGI.png


2. The attempt at a solution
What I got sort of worked, but it is only half of the answer given.
92fa8XY.png


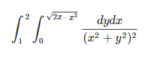
The actual answer was this, but putting it into the calculator gives a completely different answer from what it's supposed to be.
fnl2peT.png
This is how I was reading the situation:
The hatch is the area that it seems we need to integrate over, and it also seems as though my answer shouldn't even be close given how it is a rectangular area.
swQt1ek.png
Is there something I'm not seeing, or is the provided answer wrong?
 

Attachments

  • EKDTWGI.png
    EKDTWGI.png
    1.6 KB · Views: 880
  • 92fa8XY.png
    92fa8XY.png
    1.5 KB · Views: 908
  • fnl2peT.png
    fnl2peT.png
    2 KB · Views: 673
  • swQt1ek.png
    swQt1ek.png
    6.8 KB · Views: 901
Physics news on Phys.org
How did you get those integration limits of ##[\sqrt 2,2]## for r? ##r## is the distance from the origin to:
  • the line ##y=1## for the lower limit and
  • the circle boundary for the upper limit
Looking at the diagram, we see that, at ##\theta=0## the integration is for ##r\in[1,2]## and for ##\theta=\pi/4## it is for ##r\in [\sqrt 2,\sqrt 2]##. Those limits match the limits in the solution formula, but not the ones in the integral above it.
 
From some of the examples I found you base r off of the origin to some point. From the origin to the top of the circle is a distance of √2. Having r ∈ [√2, 2cos(Θ)] Didn't work, but replacing it with its max at 2 made it a little bit closer to the answer.
 
Draw a line segment from the origin, at an angle of ##\theta## above the x axis, to the point where it hits the curve.
The lower limit for the inner integral is the distance along that segment from the origin (call it O) to the point where the segment hits the vertical line ##x=1## (call that point Q).
The upper limit for the inner integral is the distance from O to where the line segment hits the curve.
Use geometry to calculate those two lengths as formulas in terms of ##\theta##.
 
Corey Williams said:

Homework Statement


Trying to help a friend with a problem. We are supposed to solve the below using polar coordinates. The actual answer is supposed to be π/16. Solving the integral is not the issue, just converting it.
View attachment 215889

2. The attempt at a solution
What I got sort of worked, but it is only half of the answer given.
View attachment 215890

The actual answer was this, but putting it into the calculator gives a completely different answer from what it's supposed to be.
View attachment 215891This is how I was reading the situation:
The hatch is the area that it seems we need to integrate over, and it also seems as though my answer shouldn't even be close given how it is a rectangular area.
View attachment 215892Is there something I'm not seeing, or is the provided answer wrong?

Let the shaded shape in your diagram be ABCA, where AB and CA are horizontal and vertical line segments and BC is the circular arc. The origin is O.

One way to solve it using polar coordinates is to evaluate the integral over OBCO in polar coordinates, then subtract the integral over OACO.
 

Similar threads

Replies
10
Views
2K
  • · Replies 24 ·
Replies
24
Views
4K
  • · Replies 2 ·
Replies
2
Views
2K
  • · Replies 12 ·
Replies
12
Views
2K
  • · Replies 14 ·
Replies
14
Views
3K
Replies
6
Views
2K
  • · Replies 1 ·
Replies
1
Views
2K
Replies
6
Views
2K
  • · Replies 7 ·
Replies
7
Views
2K
  • · Replies 2 ·
Replies
2
Views
2K