How to Determine the Breaking Force of Pencil Lead?

  • Thread starter Thread starter patehi
  • Start date Start date
  • Tags Tags
    Angle Modulus
Click For Summary

Discussion Overview

The discussion revolves around determining the breaking force of pencil lead through theoretical calculations and experimental methods. Participants explore the mechanics involved, including the effects of geometry, forces acting on the lead, and the assumptions made in the analysis.

Discussion Character

  • Homework-related
  • Technical explanation
  • Debate/contested

Main Points Raised

  • One participant presents a formula for the modulus of rupture and attempts to calculate the bending moment for a pencil lead with specified dimensions.
  • Another participant agrees with the initial force assumptions but later clarifies that the lead is fixed and cannot move freely.
  • Concerns are raised about the experimental method and theoretical calculations, highlighting issues such as axial load, slippage, and stress concentration at the contact point with the quill tube.
  • A request is made for a detailed analysis of the specific case involving a 0.5 mm diameter and 4 mm long lead at a 60° angle.
  • One participant revises the forces acting on the system and introduces new variables for stress concentration and longitudinal stress.
  • Another participant acknowledges the improved model and inquires about numerical results for breakage loads.
  • Clarification is sought regarding the force measured by the load cell and its relation to the bending moment calculations.
  • Discussion includes the need to correlate the yield moment to the applied force and the importance of analyzing the bending moment diagram.

Areas of Agreement / Disagreement

Participants express differing views on the assumptions made regarding the lead's movement and the adequacy of the experimental setup. There is no consensus on the correct approach to calculating the breaking force, and multiple competing models and perspectives are presented.

Contextual Notes

Limitations include uncertainties about the clamping length of the mechanical pencil, the effects of the angle on the forces, and the need for more detailed calculations to accurately determine breaking loads.

patehi
Messages
11
Reaction score
0

Homework Statement


Hi guys, i came across a paper about an Investigation of pencil-lead breaks as acoustic Emission sources by Markus G.R. Sause (it's downloadable everywhere).

The Setup of the Experiment can be seen in the Picture i attached. Now the Problem i have is to find the correct formula on how to find the breaking force of lead, where the elastic modulus and density are defined.
E=10.5 Gpa, ρ=1.78 Mg/m3.
In the table below, the calculated forces are listed in the table "Force (experimental)".

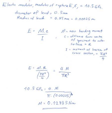
My attempt is to use the formula of Modulus of rupture, E = M.y/I and get the value for Bending Moment. For the sake of example, i am using 0.5 mm Diameter, 60° angle, 4 mm lead length.

Assuming that i am using the correct formula, i calculated the Bending Moment on the System.
This is where i stuck since I am not sure what are all Forces acted on the lead. (Please see my attempt in the attachment).

Homework Equations


Once all Forces are known, use force Equilibrium where Fx=0, Fy=0, M=0.

The Attempt at a Solution


Please see the Images i attached.

Thanks! I appreciate your help!
 

Attachments

  • Breaking.jpg
    Breaking.jpg
    43.7 KB · Views: 581
  • Bending moment.jpg
    Bending moment.jpg
    15 KB · Views: 2,317
  • forces.jpg
    forces.jpg
    11.6 KB · Views: 570
Physics news on Phys.org
If your assuming that the lead can move in and out freely, then I agree with your sketched forces. (you model the tip of the pencil as a roller, and end as a pin).
 
hi thanks for the reply!

I forgot to mention that the lead is fixed, and can't move in and out freely.
 
Last edited:
There are problems with both your experimental method and your theoretical calculations .

(1) Depending on the setting angle there may be :

(a) Significant axial load on the lead .
(b) Slippage of the lead along the load cell surface sufficient to change the problem geometry .

(2) The lead is only poorly supported in bending by the quill tube in the pen . You can't assume a fully rigid fixing .

(3) There is a stress concentration in the lead at the point where it contacts the quill tube during bending .

(4) The actual mechanics of breakage for the lead are not going to be easy to determine . Certainly a more detailed calculation for breaking load will be needed than you have so far attempted .
 
Last edited:
Would you like to make an attempt at analysing the 0, 5 mm dia x 4 mm long lead + 60° setting angle case in detail ?

Show us what you come up with and then we can discuss any difficulties and see how to make your experimental and theoretical results agree better .
 
Last edited:
i have revised the forces acting on the System.
As you can see, S is the stress concentration at the quill and P is longitudinal stress of lead. F is the force pushing the whole System onto the load cell.
In the paper it is however not defined at which length was the mechanical pencil clamped, so i define it as "l".

This is what i came up with.

forces2.jpg

upload pic

Am i going in the right direction?
 
Sorry - I have only just noticed your reply post .

Yes - at first glance that looks like a much more realistic model . Have you got some numerical results for breakage loads yet ?
 
i will try to get the numerical results, but just for reassurance, the force which registers on the load cell would be the Ay, correct? If that's the case, i should calculate Ay?
 
The force F is given and it is the applied force to write.

What you will be doing is correlating the yield moment to applied force F.

So, you will need to calculate the bending moment diagram.

So, first thing to do is to analyse the lead segment. You will need to calculate Ay, Ax, S and P. Note that the forces Ay and Ax each have two other forces - both parallel and perpendicular to the lead. We can neglect the parallel forces to the lead since they do not contribute to the bending moment diagram.

After bending moment diagram analysis, you will obtain the maximum moment the lead undergoes at the assumed breaking applied force 'F' and you can compare your results to the experimental ones.
 

Similar threads

  • · Replies 3 ·
Replies
3
Views
3K
  • · Replies 9 ·
Replies
9
Views
4K
  • · Replies 3 ·
Replies
3
Views
2K
  • · Replies 53 ·
2
Replies
53
Views
11K
  • · Replies 5 ·
Replies
5
Views
2K
  • · Replies 48 ·
2
Replies
48
Views
8K
  • · Replies 1 ·
Replies
1
Views
2K
  • · Replies 5 ·
Replies
5
Views
2K
Replies
9
Views
3K
  • · Replies 4 ·
Replies
4
Views
18K