How to Solve a Statics Truss Problem at Joint C Using the Joint Method?

  • Context: MHB 
  • Thread starter Thread starter bergausstein
  • Start date Start date
  • Tags Tags
    Statics Truss
Click For Summary

Discussion Overview

The discussion revolves around solving a statics truss problem at joint C using the joint method. Participants are exploring the steps involved in analyzing forces at various joints within the truss structure, specifically focusing on joint C and the implications of choosing different nodes for analysis.

Discussion Character

  • Homework-related
  • Technical explanation
  • Mathematical reasoning
  • Exploratory

Main Points Raised

  • One participant expresses difficulty in continuing the problem at joint C and requests assistance using the joint method.
  • Another participant suggests analyzing node B first, as it has only two unknown forces, which would simplify the analysis before proceeding to joint C.
  • A participant provides equations for the forces at joint B, indicating how to set up the free body diagram and the relationships between the forces.
  • There is a discussion about determining angles $\alpha$ and $\beta$, with one participant confirming the value of $\beta$ as 63.4 degrees.
  • A later post introduces the idea of solving the problem using the method of sections, indicating an alternative approach to the joint method.

Areas of Agreement / Disagreement

Participants generally agree on the approach of analyzing node B before joint C due to the number of unknowns. However, there is no consensus on the overall strategy, as one participant introduces the method of sections as an alternative, suggesting multiple competing views remain.

Contextual Notes

Participants have not resolved the implications of their chosen methods or the specific values of forces at joint C, and there are unresolved mathematical steps related to the angles and forces involved.

Who May Find This Useful

This discussion may be useful for students and practitioners working on statics problems, particularly those involving truss analysis and the application of the joint method and method of sections.

bergausstein
Messages
191
Reaction score
0
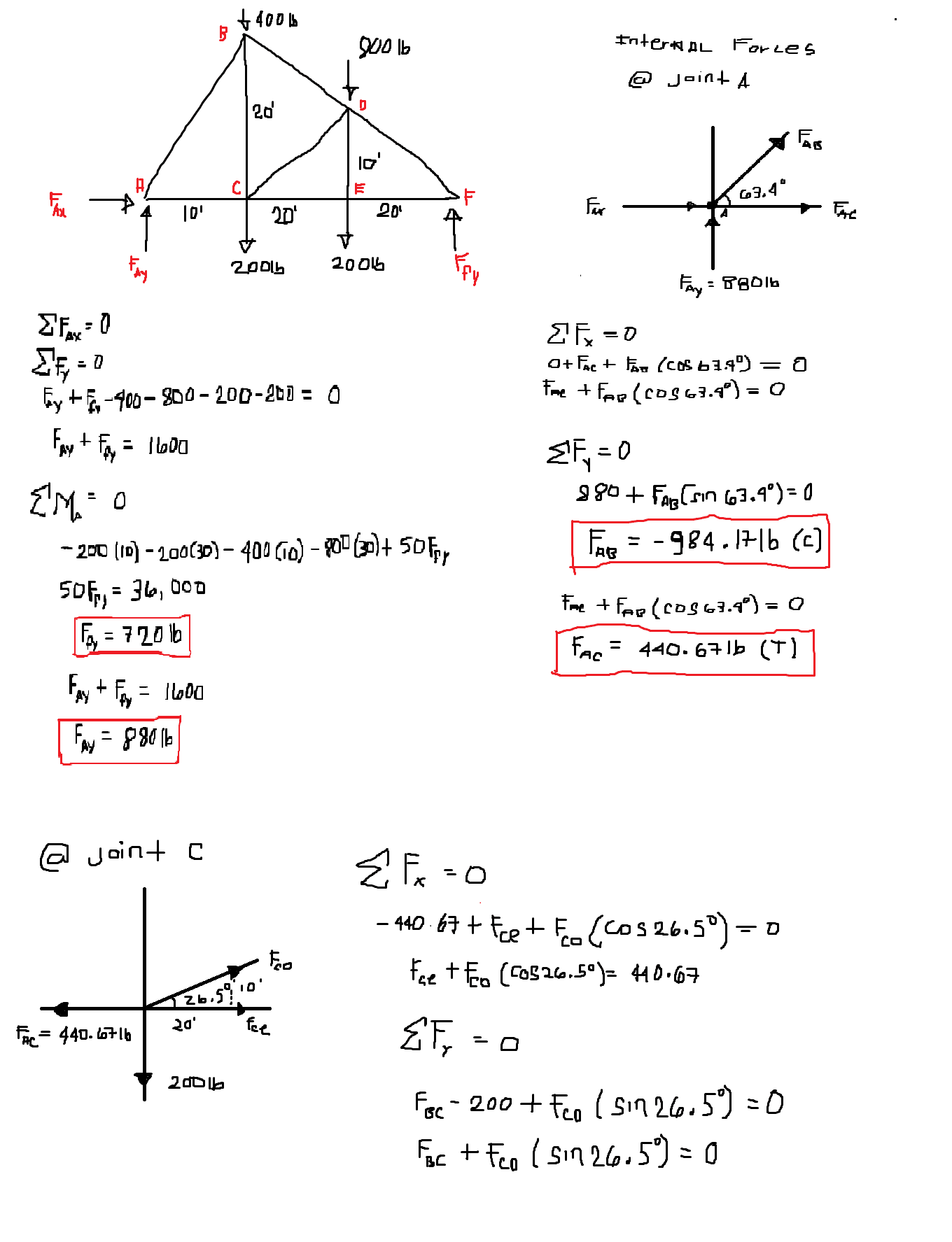
can you help me continue this problem. I'm stuck @ joint C. please use joint method.
please click the image to fully view it. thanks!
View attachment 1870
 

Attachments

  • mech 1.png
    mech 1.png
    36.1 KB · Views: 164
Mathematics news on Phys.org
Re: statics truss problem.

When trying to solve these kind of problems try to find the stress of the nodes where there are only two unknown forces (since you can only get two equations per node). You've chosen the node A first, which is fine since $F_{AX}$ is zero thus leaving with only two unknown stresses.

But if you chose node C next you will find there are three unknowns. So my advice is analyse the Node B (which has only two unknown stresses) before going for node C. From there you can find the stress of the joint $F_{BC}$.

Now you'll only have two unknowns in node C since $F_{AC}$ and $F_{BC}$ is known.
 
Re: statics truss problem.

can you help me create the free body diagram at joint B. thanks!
 
View attachment 1876

$$\begin{align}
\rightarrow \displaystyle \Sigma \vec F &= 0\\
F_{AB} \sin \alpha - F_{BD}\sin{\beta} &= 0
\end{align}$$

$$\begin{align}
\uparrow \displaystyle \Sigma \vec F &= 0\\
F_{AB} \cos \alpha + F_{BD}\cos{\beta} +F_{BC} -400&= 0
\end{align}$$

I think you can find the appropriate values for $\alpha$ and $\beta$. $F_{AB}$ is known from node A (please consider that I've taken stress of the arm AB as a compression while you've taken it as a tension).
 

Attachments

  • MHB.png
    MHB.png
    1.8 KB · Views: 144
I did find the angle $\alpha$ but I don't know how to find angle $\beta$. can you help me find it.
 

Attachments

  • MHB.png
    MHB.png
    1.6 KB · Views: 129
$\beta=$63.4 degrees am I correct?
 
Yes that's correct. I hope you can manage to find the other stresses.
 
how can we solve this using method of sections?
 

Similar threads

  • · Replies 4 ·
Replies
4
Views
2K
  • · Replies 1 ·
Replies
1
Views
2K
  • · Replies 5 ·
Replies
5
Views
2K
Replies
3
Views
4K
  • · Replies 2 ·
Replies
2
Views
1K
  • · Replies 1 ·
Replies
1
Views
3K
  • · Replies 9 ·
Replies
9
Views
2K
  • · Replies 1 ·
Replies
1
Views
2K
Replies
20
Views
5K
  • · Replies 5 ·
Replies
5
Views
2K