I face some difficulties to find the domain

Click For Summary

Homework Help Overview

The discussion revolves around finding the domains of various mathematical functions, including square roots and rational expressions. Participants are addressing specific problems and the conditions under which these functions are defined.

Discussion Character

  • Exploratory, Assumption checking, Problem interpretation

Approaches and Questions Raised

  • Participants are attempting to clarify the domains of specific problems, questioning assumptions related to square roots and rational functions. There are discussions about inequalities and the conditions that must be satisfied for the functions to be defined.

Discussion Status

Some participants have provided guidance on how to approach the domain issues, suggesting that certain values lead to undefined expressions. There is an ongoing exploration of different interpretations regarding the domains of the functions in question.

Contextual Notes

Participants are working under the constraints of homework rules, which may limit the information they can share or the methods they can use to solve the problems. There is also mention of attachments that may be pending approval, affecting the flow of discussion.

r-soy
Messages
170
Reaction score
1
I face some difficulties to find the domain

Now i put my questions and please help me to answer it

i try solve it

questions.JPG


answer 1.JPG


answer 2.JPG


thanks
 
Physics news on Phys.org
It can sometimes take several hours for attachments to be approved, so for quicker responses, it's best to type your questions out so that we can see them right away.
 
I think attachments are approved now >> :smile:
 
The domain of problem 46 is not all real numbers. For √x, domain is x≥0. Use that for √(-1-s).

The domain of 47 is larger than just w≥4; perhaps you were still thinking about domains with square roots. Try thinking about the domain of 1/x, or where it is undefined, and then think about the domain of (2x+3)/(w-4) again.

I can't quite make out your answer for the domain of 51, but it doesn't look right. But let's look at what you have with (y + 1)(y - 3)≥0. You know where the parabola crosses the x-axis and that it opens upward since the leading coefficient is positive. What part(s) of the graph will be above the x-axis, or ≥0?
 
Last edited:
As Bohrok said, if the domain was all real numbers for √(-1-s), it would be incorrect. Say s is equal to 2. -1-2 = -3. √-3 is an imaginary number. You want to make sure whatever is under the square root bracket is equal to 0 or more.
 
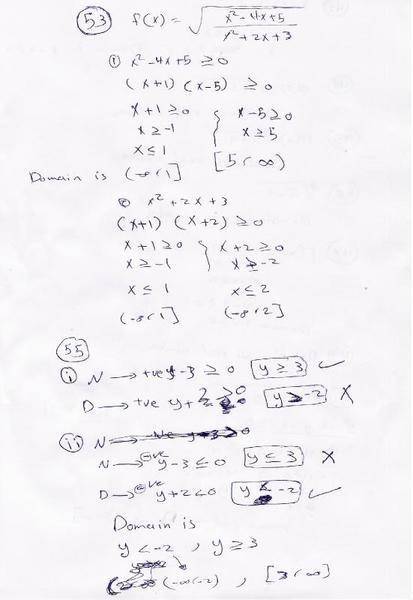
53. x^2-4x+5 and x^2+2x+3 can't be factor the way you did.
 
bohrok said:
The domain of problem 46 is not all real numbers. For √x, domain is x>0. Use that for √(-1-s).
The domain for f(x) = √x is x >= 0.
 
Mark44 said:
The domain for f(x) = √x is x >= 0.

I hit the wrong two-key combination instead of Ctrl-V. :redface: Corrected.
 
46 )
1-s ≥ 0
-s ≥ - 1

47) i think domain all real numer

51 ) please i want the answer


help me .>
 
  • #10
r-soy said:
46 )
1-s ≥ 0
-s ≥ - 1
No. Start with -1 -s ≥ 0
You should end up with an inequality that involves s, not -s. Review the rules for working with inequalities if needed.
r-soy said:
47) i think domain all real numer
No. There is one real number that isn't in the domain of this function.
r-soy said:
51 ) please i want the answer
For this function to be defined, it must be that y2 -2y - 3 ≥ 0.
Factor the left hand side into two linear factors. For the product of the two factors to be ≥ 0, both factors have to be ≥ 0, or both have to be <= 0. Each case will produce its own set of numbers.
r-soy said:
help me .>
 

Similar threads

  • · Replies 10 ·
Replies
10
Views
2K
  • · Replies 11 ·
Replies
11
Views
3K
  • · Replies 23 ·
Replies
23
Views
3K
  • · Replies 7 ·
Replies
7
Views
2K
  • · Replies 15 ·
Replies
15
Views
3K
  • · Replies 14 ·
Replies
14
Views
4K
  • · Replies 7 ·
Replies
7
Views
2K
Replies
6
Views
2K
  • · Replies 9 ·
Replies
9
Views
2K
Replies
8
Views
6K