IMC-based PID Controller for unstable system

Click For Summary

Discussion Overview

The discussion revolves around the design and analysis of an IMC-based PID controller for an unstable system. Participants are working through various parts of a homework assignment, focusing on the transfer functions, stability, and performance of the controller in a control loop context.

Discussion Character

  • Homework-related
  • Technical explanation
  • Debate/contested

Main Points Raised

  • One participant presents the process transfer function and its factorization, noting the instability due to a singularity at a specific point.
  • Another participant discusses the need for the controller to be semi-proper while working through the controller transfer function.
  • Concerns are raised about the correctness of the derived controller transfer function, with one participant suggesting a potential sign error in the calculations.
  • Another participant sketches a root locus and notes the implications of the pole's position on system stability, indicating that a negative feedback gain could stabilize the system.
  • There is a discussion about the implications of the process gain being negative and how it affects the design of the PID controller.
  • A later reply mentions that changing the sign of the PID controller resulted in divergence in the opposite direction, highlighting the complexity of the system's response.
  • One participant suggests simplifying the controller to a P-controller to analyze stability without the added complexity of the PID structure.

Areas of Agreement / Disagreement

Participants express differing views on the correctness of the sign in the controller design and the implications of the process gain being negative. There is no consensus on whether the initial calculations were correct, and multiple competing views on how to approach the controller design remain unresolved.

Contextual Notes

Participants note that the process gain for an unstable system may not be meaningful, which complicates the analysis. There are also unresolved mathematical steps and assumptions regarding the stability and behavior of the system under different controller configurations.

gfd43tg
Gold Member
Messages
949
Reaction score
48

Homework Statement


upload_2015-11-7_17-42-59.png


Homework Equations

The Attempt at a Solution


I'm working on parts (c) and (d) now, but I will show my work for (a) and (b) for completeness.

(a)
Starting with the process transfer function

$$ g_{p} = \frac {-1.43}{s^{2}+3.687s-7.177} $$

The denominator is factorized,

$$ g_{p} = \frac {-1.43}{(s-1.399)(s+5.086)} $$

$$ = \frac {-1.43}{-1.399(\frac {-1}{1.399}s+1)5.086(\frac
{1}{5.086}s+1)} $$

$$ g_{p} = \frac {0.201}{(-0.715s+1)(0.197s+1)} $$

where ##\tau_{1}= -0.715## and ##\tau_{2} = 0.197##. The first time constant makes the process unstable. A singularity occurs at

##s = \frac {1}{\tau_{1}} = \frac {1}{0.715} = 1.399##
-------------------------------------------------------------------------------------------------------------------------------------------------
(b)
$$ f(s) = \frac {\gamma s + 1}{(\lambda s + 1)^{n}} $$
The controller must be semi-proper with an unstable system.
-------------------------------------------------------------------------------------------------------------------------------------------------
(c)

The invertible part of the process transfer function is found,

$$ \tilde {g_{p-}} = \frac {0.201}{0.197s+1} $$
with a filter
$$ f = \frac {\gamma s+1}{5s+1} $$
$$ q = \tilde {g_{p-}}^{-1}f = \frac {0.197s+1}{0.201} \cdot \frac {\gamma s+1}{5s+1} $$

The controller transfer function is determined,

$$ g_{c} = \frac {q}{1-q \tilde {g_{p-}}} $$

$$ = \frac { \frac {0.197s+1}{0.201} \frac {\gamma s+1}{5s+1}}{1 - \frac
{0.201}{0.197s+1} \cdot \frac {0.197s+1}{0.201} \cdot \frac {\gamma s+1}{5s+1} } $$

$$ = \frac {\frac {0.197s+1}{0.201} \cdot \gamma s+1} {(5- \gamma)s} $$

$$ = 4.975 \bigg [ \frac {0.197 \gamma s^{2}+(0.197+ \gamma)s + 1}{(5- \gamma)s} \bigg ] $$

Which is of the form of an ideal PID controller,

$$ g_{c,PID} = k_{c} \bigg [ \frac {\tau_{I} \tau_{D} s^{2} + \tau_{I}s + 1}{\tau_{I}s} \bigg ] $$
Therefore, for the ##\tau_{I}## term to be equal, ##5- \gamma = 0.197+ \gamma##, so ##\gamma = 2.402##.

$$ g_{c} = 4.975 \bigg [ \frac {0.473s^{2}+2.599s+1}{2.599s} \bigg ] $$
##k_{c} = 4.975##, ##\tau_{I} = 2.599##, ##\tau_{D} = 0.473/2.599 = 0.182##
-------------------------------------------------------------------------------------------------------------------------------------------------
(d)
Here is my simulink model
upload_2015-11-7_17-48-10.png

And the inputs to the PID controller
upload_2015-11-7_17-48-31.png

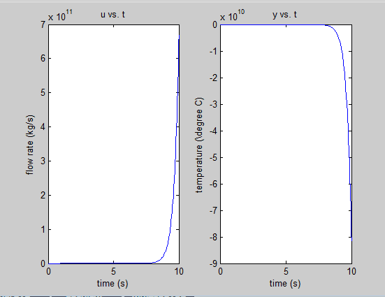
However, my output and manipulated inputs look totally wrong, this controller is not working at all!
upload_2015-11-7_17-49-8.png

So I am wondering if I may have done part (c) incorrectly.
 
Physics news on Phys.org
I might as well post my work for the next set, which asks to make the controller transfer function semiproper
upload_2015-11-7_18-30-4.png

(e) & (f)
$$ q = \frac {0.197s+1}{0.201} \cdot \frac {\gamma s + 1}{(5s+1)^{2}} $$
So here is my controller transfer function worked out
$$ g_{c} = \frac { \frac {0.197s+1}{0.201} \cdot \frac {\gamma s + 1}{(5s+1)^{2}}}{1 - \frac {0.201}{0.197s+1} \cdot \frac {0.197s+1}{0.201} \cdot \frac {\gamma s+1}{(5s+1)^{2}}} $$

$$ = 4.975 \bigg [ \frac {0.197 \gamma s^{2} + (0.197 + \gamma)s + 1}{25s^{2} + (10-\gamma)s} \bigg ] $$
$$ = 4.975 \bigg [ \frac {0.197 \gamma s^{2} + (0.197 + \gamma)s + 1}{(10- \gamma)s( \frac {25}{10-\gamma}s + 1)} \bigg ] $$
Which is of the form
$$ g_{c} = k_{c} \bigg [ \frac { \tau_{I} \tau_{D} s^{2} + \tau_{I} s + 1}{\tau_{I} s(\tau_{F}s+1)} \bigg ] $$
So ##10 - \gamma = 0.197 + \gamma##, so ##\gamma = 4.902##,
This reduces to
$$ 4.975 \bigg [ \frac {0.966 s^{2} + 5.099s + 1}{5.099s( 4.904s + 1)} \bigg ] $$
Where ##\tau_{F} = 4.904## and ##\tau_{D} = 0.966/5.099 = 0.189##
Then I make a new model in simulink
upload_2015-11-7_18-38-6.png

And my output is still diverging
upload_2015-11-7_18-38-54.png

So it seems neither of these controllers are working
 
Last edited:
I think you have a sign-error in (c).

kc must be negative because kp is negative.

Otherwise you will have a positive feed-back in your control-loop.
 
It means something might have gone wrong in (b)? Because when I take out the -1.399, it makes the numerator positive
 
Maylis said:
It means something might have gone wrong in (b)?
I don't know. I've just sketched a root locus and can see that the rightmost pole ( s = 1.399 ) will cause a root moving to the right if kc → +∞.
But if you let kc → -∞, the root will move to the left ( toward the stable area ).
 
I don't think I made a sign error, but it's possible that the ##k_{p}## is the problem statement is wrong. Another classmate had the same issue as me, we have not resolved it.
 
upload_2015-11-7_17-48-10-png.91505.png

Well, anyway you can see, that if you follow the circulation path in the loop, the sign will be positive. You are not allowed to change the sign of the transferfunction ( -1.43 ) because it can be due to some inverting amplifier in the hardware, or whatever. But you may change the sign of the PID-controller: You are the one to make that decision.

Try it out, see what happens! Don't make a problem out of that.
 
This is what the grad student responded with in response to the sign of kc and kp being different
Be careful with logic like this. A process gain is the long-time output response of a system. If you have an unstable process, the true long-time response is undefined (infinity). The gain for an unstable process transfer function is no longer meaningful physically so it is not reliable to draw conclusions from the sign.

Also, I changed the sign of the PID controller, and all that happened was a divergence in the opposite direction.
 
Last edited:
The grad student says: Be careful with logic like this.
Well, then be careful. Know what you are doing.

By inserting a PID-controller in the loop, you will increase the system order by 1 ( 3. order characteristic equation ). I don't have the "tools" to handle that right now, calculating the optimal zero/pole/amplification. But for simplification, try to set PID = -7 ( just a P-controller ).

The characteristic equation for the system will be: ( s + 1.092 )( s + 2.595 ) = 0.
Thus it must be stable.
 

Similar threads

  • · Replies 4 ·
Replies
4
Views
4K
Replies
2
Views
2K
Replies
26
Views
4K
  • · Replies 5 ·
Replies
5
Views
3K
  • · Replies 4 ·
Replies
4
Views
5K
Replies
15
Views
3K
  • · Replies 3 ·
Replies
3
Views
2K
  • · Replies 1 ·
Replies
1
Views
2K
  • · Replies 7 ·
Replies
7
Views
7K
  • · Replies 5 ·
Replies
5
Views
2K