Inclined parallel plate capacitor

Click For Summary

Discussion Overview

The discussion revolves around the properties and formulas related to inclined parallel plate capacitors, particularly comparing them to traditional rectangular parallel plate capacitors. Participants explore the assumptions behind the formulas, derivations, and the conditions under which capacitance values may be equivalent.

Discussion Character

  • Exploratory
  • Technical explanation
  • Debate/contested
  • Mathematical reasoning

Main Points Raised

  • Some participants question whether the formula for inclined plate capacitors is correctly represented in shared materials, citing a lack of examples.
  • There is a request for derivations of the formulas to clarify the assumptions made by the authors.
  • One participant proposes a comparison between a rectangular capacitor and an inclined (parallelogram-shaped) capacitor, questioning if they have the same capacitance when their heights are equal.
  • Another participant suggests that the capacitance of the two capacitors may approach equality as the plate separation approaches zero.
  • Concerns are raised about the importance of plate separation and height in determining capacitance, with one participant emphasizing that these factors should also be considered.
  • It is noted that as plate separation increases, the capacitance of the capacitors decreases.

Areas of Agreement / Disagreement

Participants express uncertainty regarding the assumptions and derivations related to inclined capacitors. There is no consensus on the equivalence of capacitance between the two capacitor types under varying conditions, indicating multiple competing views remain.

Contextual Notes

Limitations include potential missing assumptions regarding the geometry of the capacitors and the specific conditions under which capacitance is compared. The discussion does not resolve the mathematical steps involved in deriving the capacitance formulas.

mertcan
Messages
343
Reaction score
6
upload_2017-9-7_18-8-43.png

upload_2017-9-7_18-5-40.png
hi, I wonder that inclined plate capacitor formula is the formula in last picture I shared? I am not sure because there are not enough examples about that ?
 
Physics news on Phys.org
Is there a derivation before this? It would help since I'm not completely sure what assumptions the authors are making.
 
NFuller said:
Is there a derivation before this? It would help since I'm not completely sure what assumptions the authors are making.
upload_2017-9-7_20-35-8.png

upload_2017-9-7_20-34-46.png


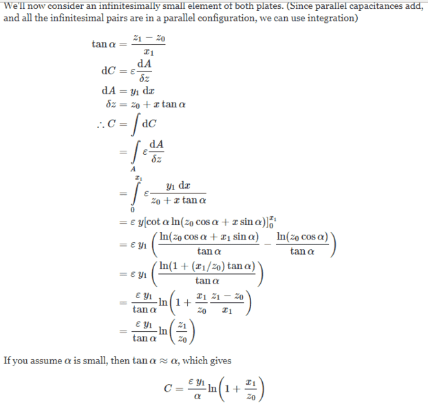
Here is the total work here.
ALSO I have ANOTHER question : initially we are used to see parallel capacitor of which plates are perpendicular to horizontal plane ( A CAPACITOR LIKE RECTANGULAR ), but let's think a parallel capacitor of which plates make an SAME angle with horizontal plane ( A CAPACITOR LIKE PARALLELOGRAM ).
My question is : A CAPACITOR LIKE RECTANGULAR of which height is same with A CAPACITOR LIKE PARALLELOGRAM has same capacitance with CAPACITOR LIKE PARALLELOGRAM??
 
Last edited:
mertcan said:
My question is : A CAPACITOR LIKE RECTANGULAR of which height is same with A CAPACITOR LIKE PARALLELOGRAM has same capacitance with CAPACITOR LIKE PARALLELOGRAM??
Are you asking at what plate separation the capacitance of a normal parallel plate capacitor equals that of a capacitor with both plates at some common angle?

If so, then the two capacitors will approach the same value as the plate separation approaches zero.
mertcan said:
hi, I wonder that inclined plate capacitor formula is the formula in last picture I shared? I am not sure because there are not enough examples about that ?
They appear to be using two approximations here ##\text{tan}\alpha\approx\alpha## and ##z_{1}\approx z_{0}+x_{1}## for small ##\alpha##.
 
NFuller said:
Are you asking at what plate separation the capacitance of a normal parallel plate capacitor equals that of a capacitor with both plates at some common angle?

If so, then the two capacitors will approach the same value as the plate separation approaches zero.
Yes you are so close to my question but only the plate separation angle is important ? Are not the distance between plates and height of plates (or capacitor) important ? Should they are same also?
 
@NFuller could you have a look at my last question for your last reply?
 
mertcan said:
Are not the distance between plates and height of plates (or capacitor) important ? Should they are same also?
Yes, as the plate separation increases, the capacitors will decrease their capacitance.
 

Similar threads

  • · Replies 1 ·
Replies
1
Views
2K
  • · Replies 9 ·
Replies
9
Views
2K
  • · Replies 16 ·
Replies
16
Views
3K
  • · Replies 7 ·
Replies
7
Views
2K
  • · Replies 16 ·
Replies
16
Views
3K
  • · Replies 21 ·
Replies
21
Views
2K
  • · Replies 7 ·
Replies
7
Views
3K
  • · Replies 18 ·
Replies
18
Views
2K
  • · Replies 103 ·
4
Replies
103
Views
9K
  • · Replies 2 ·
Replies
2
Views
2K