Inexact Differential Equation with 4 Degree

Click For Summary
SUMMARY

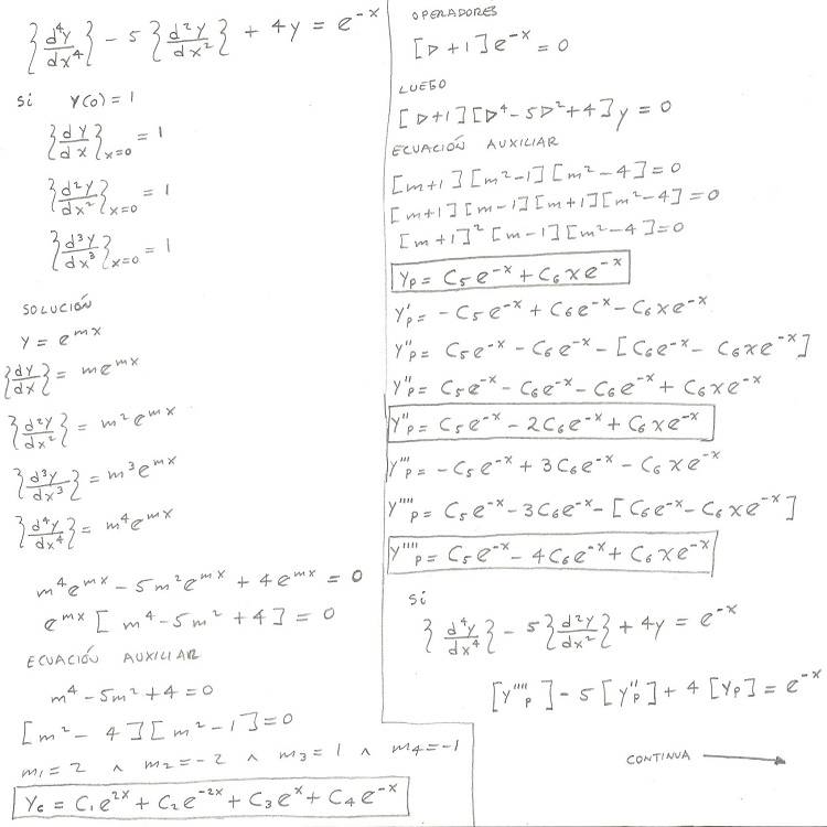
The discussion centers on solving an inexact differential equation of the fourth degree, with contributions from user Jefferson Alexander Vitola. Participants share solutions through images due to a lack of familiarity with LaTeX. A specific query arises regarding the appropriateness of setting the particular solution as ##y_p=c_5e^{-x}## instead of the more complex form ##y_p=c_5e^{-x}+c_6xe^{-x}##, prompting further exploration of solution methods.

PREREQUISITES
  • Understanding of differential equations, particularly fourth-degree equations.
  • Familiarity with particular and general solutions in differential equations.
  • Basic knowledge of exponential functions and their properties.
  • Awareness of LaTeX for mathematical notation (optional but beneficial).
NEXT STEPS
  • Research methods for solving fourth-degree differential equations.
  • Learn about the method of undetermined coefficients for particular solutions.
  • Explore the implications of different forms of particular solutions in differential equations.
  • Familiarize yourself with LaTeX to present mathematical solutions effectively.
USEFUL FOR

Mathematics students, educators, and anyone involved in solving or teaching differential equations, particularly those focusing on higher-order equations.

jeffer vitola
Messages
25
Reaction score
0
hello ... I wanted to demonstrate the solution of a differential equation, and as I do not yet know the latex language, then I take pictures of the leaves with my solutions ... the user who wants to give more solutions is well received and is welcome ...
att
jefferson alexander vitola (Smile)
https://www.physicsforums.com/attachments/1063._xfImport
https://www.physicsforums.com/attachments/1064._xfImport
att
jefferson alexander vitola (Smile)

Comments and questions should be posted here:

http://www.mathhelpboards.com/f53/commentary-inexact-differential-equation-4-degree-5704/
 

Attachments

  • 172.jpg
    172.jpg
    49.2 KB · Views: 206
  • 182.jpg
    182.jpg
    42.8 KB · Views: 215
Last edited by a moderator:
Physics news on Phys.org
Looks correct to me...but a question though to the forum ...in trying to solve for the particular solution, would it be ok setting ##y_p=c_5e^{-x}## rather than ##y_p=c_5e^{-x}+c_6xe^{-x}##? unless i am missing something here...
 

Similar threads

  • · Replies 10 ·
Replies
10
Views
5K
  • · Replies 65 ·
3
Replies
65
Views
9K
Replies
1
Views
11K
  • · Replies 1 ·
Replies
1
Views
2K
  • · Replies 3 ·
Replies
3
Views
3K
  • · Replies 5 ·
Replies
5
Views
2K
  • · Replies 12 ·
Replies
12
Views
2K
Replies
1
Views
14K
  • · Replies 10 ·
Replies
10
Views
2K
  • · Replies 2 ·
Replies
2
Views
1K