Ιntegral calculation : (sin(x))^4 * (cos(x))^6

Click For Summary

Homework Help Overview

The discussion revolves around the integral calculation of the expression (sin(x))^4 * (cos(x))^6, focusing on various methods and transformations to approach the problem.

Discussion Character

  • Exploratory, Mathematical reasoning, Problem interpretation

Approaches and Questions Raised

  • Participants discuss using integration by parts and trigonometric transformations as potential methods. Some mention the use of standard integral formulas and recursive techniques. Questions about finding faster or alternative methods are raised.

Discussion Status

There is an ongoing exploration of different approaches, with several participants suggesting integration by parts as a viable method. Some participants express a desire for quicker solutions, indicating a productive exchange of ideas without reaching a consensus.

Contextual Notes

Participants reference standard integral formulas and transformations, indicating a shared understanding of common techniques in integral calculus. There is also mention of constraints related to homework rules and the need for original work.

Michael_0039
Messages
59
Reaction score
7
Summary: Ιntegral calculation : (sin(x))^4 * (cos(x))^6

Hi all,
I tried to solve it, but I got stuck. An advice from my professor is to set: x=arctan(t)

Τhanks.
New Doc 2019-09-26 18.01.07.jpg
 
Physics news on Phys.org
Alternatively, you can get a formulas for the integral of ##\sin^n x## and ##\cos^n x## from repeated integration by parts.

They are on my list of standard integrals.
 
Since both trigonometric functions lead to one another and back by differentiation and integration, integration by parts is usually how they are solved. Doing it twice should reduce the power of one while keeping the other one stable. This leads to a recursion, or can just be repeated until a single function is left.

I have found the formula on Wikipedia.
 
  • Like
Likes   Reactions: Michael_0039
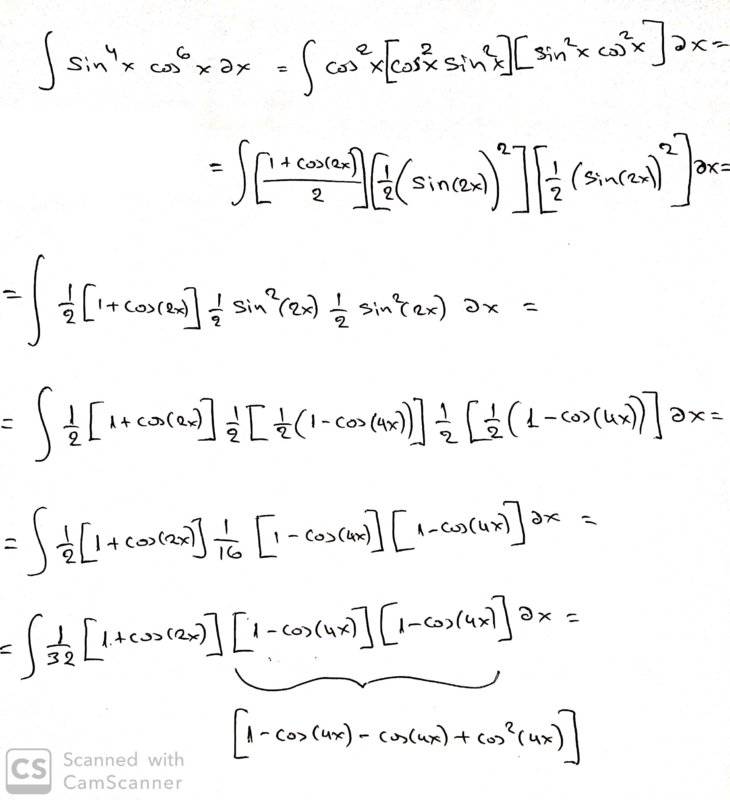
Thanks for your answers! I tried another way using the following trigonometric transformation formulas:

New Doc 2019-09-26 19.48.48_3.jpg


Now it's in simple format:
New Doc 2019-09-26 19.48.48_1.jpg


New Doc 2019-09-26 19.48.48_2.jpg


Do you know a better - faster way to solve it ?

Thanks.
 
Yes, integration by parts. Still.
$$
\int \sin^n x \cos^m x \,dx = -\dfrac{\sin^{n-1}x \cos^{m+1}x}{n+m} +\dfrac{n-1}{n+m}\int \sin^{n-2} x \cos^m x \,dx
$$
 
  • Like
Likes   Reactions: PeroK and Michael_0039
Michael_0039 said:
Do you know a better - faster way to solve it ?

Thanks.

I would have started with ##\sin^4 x = (1 - \cos^2 x)^2 = 1 - 2\cos^2x + cos^4x##.

Then used parts to calculate the integral of the various powers of ##\cos x##.

This is so useful and common that I keep the recursion formula in my list of standard integrals.
 
  • Like
Likes   Reactions: fresh_42 and Michael_0039
fresh_42 said:
Yes, integration by parts. Still.
$$
\int \sin^n x \cos^m x \,dx = -\dfrac{\sin^{n-1}x \cos^{m+1}x}{n+m} +\dfrac{n-1}{n+m}\int \sin^{n-2} x \cos^m x \,dx
$$
A thing of beauty!
 

Similar threads

  • · Replies 5 ·
Replies
5
Views
3K
  • · Replies 3 ·
Replies
3
Views
2K
Replies
3
Views
2K
  • · Replies 15 ·
Replies
15
Views
2K
  • · Replies 40 ·
2
Replies
40
Views
5K
Replies
5
Views
3K
Replies
4
Views
2K
  • · Replies 5 ·
Replies
5
Views
3K
  • · Replies 11 ·
Replies
11
Views
2K
  • · Replies 5 ·
Replies
5
Views
2K